logo

Crowdly

Browser

Add to Chrome

Моделювання процесів та систем

Looking for Моделювання процесів та систем test answers and solutions? Browse our comprehensive collection of verified answers for Моделювання процесів та систем at dl.nure.ua.

Get instant access to accurate answers and detailed explanations for your course questions. Our community-driven platform helps students succeed!

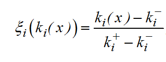
В функції корисності часткових критеріїв 

-  означає

0%
0%
View this question

Мариця коефіціетнів при неідомих  в системі рівняь 

Ветор правої частини системи рівнянь  

До якої моделі обєкту  побудована система рівнянь з метою визначення її параметрів? 

0%
100%
0%
0%
View this question

Прикріпіть розрахунковий файл із рішенням вашого варіанту

  • відповідні діапазоні значень часткових критеріїв за методичними вказівками, 
  • таблицю зі значеннями критеріїв, 
  • позначення  результатів попарного порівняння,  
  • отриману множину ефективних рішень
  • побудовані проєкції множин допустимих рішень і визначеної МЕПР у просторі функцій корисності часткових критеріїв

В  текстовому полі 

вкажіть № варіанту, відповідні діапазоні значень часткових критеріїв за методичними вказівками, висновки порівняння двох отриманих варіантів множини ефективних рішень

Наприклад:

View this question

В текстовому полі вкажіть № варіанту, відповідні діапазоні значень часткових критеріїв, таблицю зі значеннями критеріїв та позначенням ефективних (компромісних) розв'язків, графічне зображення просторі корисності часткових критеріїв  

ξ1(х) та ξ2(х);

ξ1(х) та ξ3(х), 

ξ2(х) та ξ3(х)

View this question

В текстовому полі вкажіть № варіанту, відповідні діапазоні значень часткових критеріїв, таблицю зі значеннями критеріїв, позначення  результатів попарного порівняння,  отриману множину ефективних рішень Прикріпіть розрахунковий файл

Наприклад:

View this question

Для даних Вашого варіанту  потрібно побудувати таблицю  для обчислення меж наближеної множини компромісних  розв'язків

В текстовому полі вкажіть № варіанту, відповідні діапазоні значень часткових критеріїв, таблицю зі значеннями критеріїв та функції корисності, таблицю з  оптимізацією  за частковими критеріями, межі наближеної області компромісних розв'язків

View this question

В функції корисності часткових критеріїв 

-  означає

0%
0%
View this question

Мариця коефіціетнів при неідомих  в системі рівняь 

Ветор правої частини системи рівнянь  

До якої моделі обєкту  побудована система рівнянь з метою визначення її параметрів? 

0%
0%
0%
0%
View this question

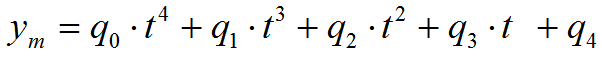
Для функції:           

та  обмежень             

обчислити прогнозні оцінки похибок розв’язання задачі 

    (формула 6.5)  для  N= 100, n=34,  

 

0%
0%
0%
0%
View this question

Вкажіть порядок виконання функцій елементами структурної схеми системи 

View this question

Want instant access to all verified answers on dl.nure.ua?

Get Unlimited Answers To Exam Questions - Install Crowdly Extension Now!

Browser

Add to Chrome