logo

Crowdly

Browser

Add to Chrome

Моделювання процесів та систем

Looking for Моделювання процесів та систем test answers and solutions? Browse our comprehensive collection of verified answers for Моделювання процесів та систем at dl.nure.ua.

Get instant access to accurate answers and detailed explanations for your course questions. Our community-driven platform helps students succeed!

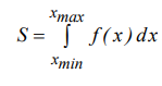
Статистичну оцінку площі фігури для заданої кількості згенерованих точок N можна визначити за формулою:

0%
0%
0%
0%
View this question

Опис таблиці слід виконується

за допомогою оператора

 

< ім’я > Table A, B, C, D

Необхідно встановіти відповідність  операндів

View this question

Встановіть відповідність стандартних числових атрибутів (СЧА)

View this question

Перенаправлення транзакта з заданої ймовірністю здійснююється за допомогою  оператору 

0%
0%
0%
0%
0%
View this question

Застосування максиміної схеми передбачає, що відносна важливість часткових критеріїв та форма подання цієї інформації представлена ​​у такому вигляді:

0%
33%
67%
0%
0%
View this question

При якому значенні адаптаційного параметру    модель  дозволяє вибирати розв’язки, що за схемою максімина?

0%
100%
0%
View this question

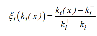
В функції корисності часткових критеріїв 

-  означає

0%
100%
View this question

При якому значенні адаптаційного параметру  модель  дозволяє вибирати розв’язки, що максимізують сумарну корисність?

0%
0%
0%
View this question

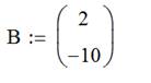
Обчисліть норму вектора  

формула

0%
0%
0%
0%
View this question

Обчисліть норму вектора  

формула

0%
0%
0%
0%
View this question

Want instant access to all verified answers on dl.nure.ua?

Get Unlimited Answers To Exam Questions - Install Crowdly Extension Now!

Browser

Add to Chrome