logo

Crowdly

Browser

Add to Chrome

Моделювання процесів та систем

Looking for Моделювання процесів та систем test answers and solutions? Browse our comprehensive collection of verified answers for Моделювання процесів та систем at dl.nure.ua.

Get instant access to accurate answers and detailed explanations for your course questions. Our community-driven platform helps students succeed!

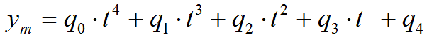
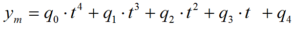
Визначте параметри в формулі 

метода експоненціального

згладжування

View this question

Мариця коефіціетнів при неідомих  в системі рівняь 

Ветор правої частини системи рівнянь  

До якої моделі обєкту  побудована система рівнянь з метою визначення її параметрів? 

0%
0%
0%
0%
View this question

Для матриці А необхідно вибрати початкові умови обчислення методом Рунге-Кути траєкторії вільного руху

0%
0%
13%
13%
View this question

Обчисліть норму вектора  

формула

0%
0%
0%
0%
View this question

Обчисліть норму вектора  

формула

0%
100%
0%
0%
View this question

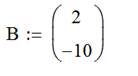
Мариця коефіціетнів при неідомих  в системі рівняь 

Ветор правої частини системи рівнянь  

До якої моделі обєкту  побудована система рівнянь з метою визначення її параметрів? 

100%
0%
0%
0%
View this question

Вкажіть відповідність значення парамеру і виду функції корисності часткових критеріїв

View this question
 Виберіть область  компромісів за умови, що  альтернативи х = 1, ...4, оцінюютьсяі за трьома критеріями (причому К1 на максимум, К2 на мінімум; К3 на максимум)

78%
22%
0%
View this question

 Виберіть область  компромісів за

умови, що  альтернативи х = 1, ...4, оцінюються за допомогою функції

користності за трьома критеріями (причому К1 на мінімум, К2 на максимум ; К3 на

максимум)

Р(К1) -значення функції корисності першого критерія

Р(К2) -значення функції корисності другого критерія

Р(К3) -значення функції корисності третього

критерія

92%
0%
8%
View this question
 Виберіть область  компромісів за умови, що  альтернативи х = 1, ...4, оцінюються за трьома критеріями: К1 на максимум, К2 на мінімум; К3 на максимум
67%
33%
0%
View this question

Want instant access to all verified answers on dl.nure.ua?

Get Unlimited Answers To Exam Questions - Install Crowdly Extension Now!

Browser

Add to Chrome