logo

Crowdly

Browser

Add to Chrome

Моделювання процесів та систем

Looking for Моделювання процесів та систем test answers and solutions? Browse our comprehensive collection of verified answers for Моделювання процесів та систем at dl.nure.ua.

Get instant access to accurate answers and detailed explanations for your course questions. Our community-driven platform helps students succeed!

Обчисліть норму вектора  

формула

0%
0%
0%
0%
View this question

Для чого використовують формули

формула

0%
0%
0%
100%
View this question

 Для  керованого руху на інтервалі від 0 до 10 з кроком=1 Розрахунок похибки,наприклад для 1-ої траєкторії  

де - значення координат вільного руху

- значення координат керованого руху

Потрібно визначити значення критерію  

якщо  

0%
0%
0%
0%
View this question

Потрібно  знайти похибку  чисельного розв'язку руху під впливом збурення  окремо для кожній траєкторії . якщо   відомі , ,  знайдено вектор початкових умов,   

 

 

де   - розв'язок аналітичним методом ЗДР вільного руху об'єкта

і=1,2,3 - номер траєкторії

Виберіть відповідні значення похибки руху під впливом збурення

View this question

Потрібно для матриці   , знайденого вектору початкових умов , вектору збурень  

розрахувати  за методом Рунге - Кутти динаміку  руку об'єкта під впливом збурення, 

крок =0,01

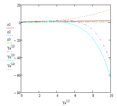
ВИБЕРІТЬ ВІДПОВІДНИЙ РОЗРАХУНКАМ ГРАФІК збуреного руху,  суміщений з графіками вільного руху, побудованими аналітичним методом

0%
0%
0%
View this question

Потрібно  знайти точність  чисельного розв'язку для матриці   та знайденого вектору початкових умов   окремо для кожній траєкторії

 Виберіть відповідні значення 

View this question

потрібно для матриці   та знайденого вектору початкових умов 

розрахувати  аналітичним методом  динаміку вільного руку об'єкта, знайти табличне подання для кроку=1

Зверніть увагу, що індексація масивів  починається з одиниці. Для цього потрібно  вказати  перед розрахунками

Як приклад,  для обчислення значень аналітичної функції  в моменти часу від 0 до 10 з кроком = 1 можна використовувати в МаthCAD формулу ,

де і- це номер відповідної траєкторії

- значення вектора початкових умов для і-ої траєкторії

- значення власного числа

 - номера кроків з попередньо обчисленої таблиці для вільного руху з кроком 1 , можна задати відлік кроку в іншій спосіб  

 За отриманою таблицею знайдіть значення  відповідних координат

View this question

Для ВАШОГО ВАРІАНТУ ( див. номера варіантів)  потрібно  розрахувати  за методом Рунге-Кутта динаміку вільного руку об'єкта з кроком=1  аналітичним методом, надати  розрахунок,  суміщені графіки  вільного  руху обчислені  аналітичним та чисельним методом. 

(ПРИКРІПИТЬ файл  МathCAD з розв'язком  або  для версії   PTC MathCAD PRIME - файл-скриншот розрахунків)

Вкажіть в текстовому полі номер варіанту та  скриншот значень з методичних вказівок

View this question

Потрібно для матриці   та знайденого вектору початкових умов 

розрахувати  за методом Рунге-Кутта динаміку вільного руку об'єкта, знайти табличне подання для кроку=1

Зверніть увагу, що індексація масивів  починається з одиниці. Для цього потрібно  вказати  перед розрахунками

 За отриманою таблицею знайдіть значення  відповідних координат

View this question

Потрібно для матриці   та знайденого вектору початкових умов 

розрахувати  за методом Рунге-Кутта динаміку вільного руку об'єкта

Зверніть увагу, що індексація масивів  починається з одиниці. Для цього потрібно  вказати  перед розрахунками

ВИБЕРІТЬ ВІДПОВІДНИЙ РОЗРАХУНКАМ ГРАФІК

0%
0%
0%
View this question

Want instant access to all verified answers on dl.nure.ua?

Get Unlimited Answers To Exam Questions - Install Crowdly Extension Now!

Browser

Add to Chrome