logo

Crowdly

Browser

Add to Chrome

Моделювання процесів та систем

Looking for Моделювання процесів та систем test answers and solutions? Browse our comprehensive collection of verified answers for Моделювання процесів та систем at dl.nure.ua.

Get instant access to accurate answers and detailed explanations for your course questions. Our community-driven platform helps students succeed!

За умовами задачі як  обираємо власний вектор , що  має всі ненульові координати.

Серед обчисленних власних векторів 

потрібно обрати вектор початкових умов 

0%
0%
0%
View this question

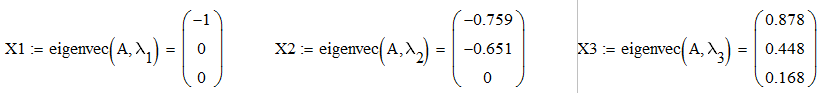
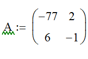
Потрібно обчислити  власні вектори     матриці  

Виберіть правильні значення власних векторів для заданої матриці А

- власні числа матриці

0%
0%
0%
0%
View this question

Для матриці  потрібно обчислити  власні числа , i=1.2.3    

Виберіть правильні значення власних чисел для заданої матриці А

View this question

Обчисліть число обумовленості матриці    А, якщо відома зворотна матриця

формулаформула

0%
0%
100%
View this question

Оберіть відповідний крок моделювання

View this question

Виберіть формулу розрахунку  точності метода Рунге Кутта

0%
0%
0%
View this question

Виберіть аналітичну модель вільного руху

0%
0%
0%
20%
View this question

Який метод  дослідження моделей

динаміки у вигляді систем ЗДР дає найбільш точний результат

0%
0%
0%
View this question

Встановіть послідовність виконання роботи "

Дослідження

динаміки об'єктів за допомогою аналітичних моделей"

View this question

Потрібно визначити складові формули (поставити у відповідність)

View this question

Want instant access to all verified answers on dl.nure.ua?

Get Unlimited Answers To Exam Questions - Install Crowdly Extension Now!

Browser

Add to Chrome