logo

Crowdly

Browser

Add to Chrome

Моделювання процесів та систем

Looking for Моделювання процесів та систем test answers and solutions? Browse our comprehensive collection of verified answers for Моделювання процесів та систем at dl.nure.ua.

Get instant access to accurate answers and detailed explanations for your course questions. Our community-driven platform helps students succeed!

Необхідно провести експеримент в  Маthcad  за вхідними даними, обчислити параметри поліному 1-го ступеню   за вхідними даними

   

 

0%
0%
0%
0%
View this question

Виберіть правильну СЛАР , яка задана в матричному вигляді  А*q=B , де q -шуканий вектор параметрів рівняння  , при вхідних даних

100%
0%
0%
View this question
Обчисліть в Мathcad максимальні відносні похибки та виберіть правильну відповідь, якщо 

 

Максимальна похибка  розв'язку СЛАР зі збуреної матрицею А         

Максимальна похибка  розв'язку СЛАР зі збуреним  вектором В 

Знайдіть число обумовленості   матриці А 

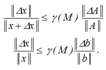
Побудуйте нерівності для обчислення максимальних відносних похибок за формулами

0%
0%
0%
View this question

Обчисліть  в Маthcad за допомогою вбудованої функції число обумовленості матриці А та виберіть правильну відповідь

якщо норми векторів  були розраховані за формулою

норма матриці А  за формулою 

100%
0%
0%
View this question

Число обумовленості  відображає наближеність коефіцієнтів матриці А до виродженої

Виберіть значення числа обумовленості для погано обумовленої матриці А

0%
0%
0%
View this question

Знайдіть в МАТНСАD норми матриці А вектору В

 

якщо 

0%
0%
100%
View this question

Модель зі збуреним вектором В має вигляд   

де

    – збурення вектора 

, що відповідає

похибці визначення (завдання). Прийняти 

похибку = 0,1  додати по черзі  до кожного елементу вектора В

Обчисліть  в МАTНКАD СЛАР зі вектором В (3 експерименти). та ВИБЕРІТЬ з запропонованих відповідей  розв'язок з найбільшої абсолютною похибкою

якщо 

100%
0%
0%
View this question

Модель зі збуреною матрицею

 має вигляд   

де

    – збурення матриці

, що відповідає

похибці визначення (завдання) її коефіцієнтів. Прийняти 

похибку = 0,1  додати по черзі  до кожного елементу матриці А 

Обчисліть  в МАTНКАD СЛАР зі збуреною матрицею А (9 експериментів). та ВИБЕРІТЬ з запропонованих відповідей  розв'язок з найбільшої абсолютною похибкою

якщо 

0%
0%
0%
0%
0%
0%
0%
0%
0%
View this question

Модель зі збуреною матрицею

 має вигляд   

де

    – збурення матриці

, що відповідає

похибці визначення (завдання) її коефіцієнтів.

Прийняти похибку = 0,1  додати по черзі  до кожного елементу матриці А 

Виберіть правильні приклади  даних для розв'язку СЛАР зі збуреної матриці А

якщо 

dAij -матриця з похибкою 0,1 в  ij -му елементі

50%
100%
50%
0%
View this question

За ВАШИМ варіантом  (див. номера варіантів) відповідно до методичних вказівок наведіть розрахунок  СЛАР   для ВАШИХ  вхідних даних, вектор В визначте самостійно

  (ПРИКРІПИТЬ файл  МathCAD з розв'язком  або СКРИНШОТ для версії   PTC MathCAD PRIME - файл-скриншот розрахунків)

Додайте номер варіанту та вхідні дані ВАШОГО варіанту

View this question

Want instant access to all verified answers on dl.nure.ua?

Get Unlimited Answers To Exam Questions - Install Crowdly Extension Now!

Browser

Add to Chrome