logo

Crowdly

Browser

Add to Chrome

Моделювання процесів та систем

Looking for Моделювання процесів та систем test answers and solutions? Browse our comprehensive collection of verified answers for Моделювання процесів та систем at dl.nure.ua.

Get instant access to accurate answers and detailed explanations for your course questions. Our community-driven platform helps students succeed!

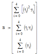
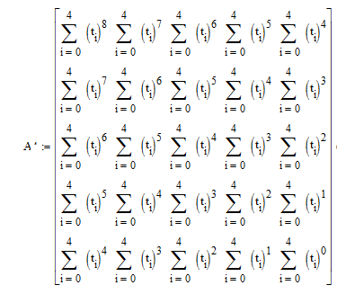
Для розрахунку параметрів полінома за методом найменших квадратів потрібно скласти СЛАР. 

Виберіть правильну СЛАР , яка задана в матричному вигляді  А*q4=B , де q -шуканий вектор параметрів рівняння  , при вхідних даних

0%
0%
0%
View this question

Для ВАШОГО ВАРІАНТУ (відповідно методичних вказівок) обчислить параметри та точність поліному 3 ступеню. Зробіть висновок,  яка модель - поліном 2 ступеню або поліном 3 ступеню - мають більшу точність.  ПРИКРІПИТЬ ФАЙЛ РОЗРАХУНОК

НОМЕРА ВАРІАНТІВ ДИВИСЬ 

https://docs.google.com/spreadsheets/d/1ibq_FCLoji-V_r9oZvpTzI92AJdvHx7a-ibMu6AbMGU/edit#gid=0

Приклад:

  

  =       

View this question

Нехай відомо:

Методом найменших квадратів було визначено коефіцієнти поліному 3го ступеня           

Побудуйте за допомогою MathCAD графік поліному та вхідних даних та виберіть правильне  зображення  

0%
0%
0%
View this question

Потрібно за допомогою Mathcad  розрахувати  методом найменших квадратів   параметри   поліному    для вхідних даних 

Для цього потрібно розв'язати СЛАР : A*q=B

View this question

Потрібно за допомогою Mathcad оцінити точність поліному    якщо методом найменших квадратів були розраховані  параметри  для вхідних даних 

50%
0%
50%
View this question

Виберіть правильний графік, якщо задано

Побудована СЛАР:

визначені параметри поліному

Свої  припущення перевірте в Mathcad

0%
0%
0%
0%
100%
0%
View this question

Розрахуйте в Mathcad параметри поліному другого ступеню для вхідних даних .

Для цього побудуйте відповідну СЛАР 

100%
0%
0%
View this question

Виберіть правильну СЛАР , яка задана в матричному вигляді  А*q=B , де q -шуканий вектор параметрів рівняння  , при вхідних даних

50%
0%
50%
View this question

Для  побудованого поліному  першого ступеню  потрібно обчислити точність за формулою , якщо вхідними даними є

50%
0%
0%
50%
View this question

Виберіть правильний графік, якщо задано

Побудована СЛАР, та визначені параметри

cвої  припущення перевірте в Mathcad

0%
0%
100%
0%
0%
View this question

Want instant access to all verified answers on dl.nure.ua?

Get Unlimited Answers To Exam Questions - Install Crowdly Extension Now!

Browser

Add to Chrome