logo

Crowdly

Browser

Add to Chrome

Теорія прийняття рішень

Looking for Теорія прийняття рішень test answers and solutions? Browse our comprehensive collection of verified answers for Теорія прийняття рішень at do.ipo.kpi.ua.

Get instant access to accurate answers and detailed explanations for your course questions. Our community-driven platform helps students succeed!

Метод ELECTRE I. Для пари альтернатив x, y встановіть значення індексів узгодження та неузгодження cxy, dxy та cyx, dyx.

Величина шкали кожного критерія δ = 10, критерії рівноцінні.

x=(10,  6,  4,  7)

y=(8,  3,  1,  7)

View this question

Нехай R1 включає усі пари альтернатив (x,y) з множини А, для яких виконується умова

                                                                  C(x,y) ≥ c,

де C(x,y) - значення індексу узгодження для пари (x,y),

с - порогове значення індексу узгодження,

а R2 включає усі пари альтернатив (x,y) з множини А, для яких виконується умова

                                                                  D(x,y) ≤ d,

де D(x,y) - значення індексу неузгодження для пари (x,y),

d - порогове значення індексу неузгодження

Тоді у відповідності з методом ELECTRE I розв'язок існує, якщо:

0%
0%
0%
100%
0%
View this question

Метод ELECTRE I. Для пари альтернатив x, y встановіть значення індексів узгодження та неузгодження cxy, dxy та cyx, dyx.

Величина шкали кожного критерія δ = 10, критерії рівноцінні.

x=(5,  7,  3,  10)

y=(4,  4,  10,  1)

View this question

Для альтернатив {x1,x2,x3,x4} відомі оцінки за множиною критеріїв:

x1 = (5,3,7,2)

x2 = (4,6,9,10)

x3 = (2,1,3,1)

x4 = (1,3,5,6)

і на множині критеріїв задане відношення строгого порядку, якому відповідає ранжування k 3 succeeds k 4 succeeds k 1 succeeds k 2

Вкажіть усі пари альтернатив, що належать відношенню лексикографії

0%
0%
0%
0%
0%
100%
100%
100%
100%
0%
100%
0%
0%
0%
100%
0%
View this question

Для альтернатив {x1,x2,x3,x4} відомі оцінки за множиною критеріїв:

x1 = (5,3,1,6)

x2 = (7,2,5,3)

x3 = (9,4,5,7)

x4 = (8,3,5,6)

Вкажіть усі пари альтернатив, що належать асиметричній частині відношення Парето

100%
100%
0%
100%
0%
0%
0%
0%
0%
0%
0%
100%
100%
0%
0%
100%
View this question

Мажоритарне відношення може бути застосоване на множині альтернатив, якщо на множині критеріїв, за якими оцінені альтернативи, задане відношення (вказати усі можливі варіанти):

0%
100%
0%
0%
0%
0%
View this question

Метод VIKOR

Для альтернатив за методом VIKOR обчислені Si, Ri, Qi:

Визначити найкращу альтернативу (або підмножину найкращих альтернатив)

0%
0%
100%
0%
0%
0%
0%
View this question

Метод TOPSIS

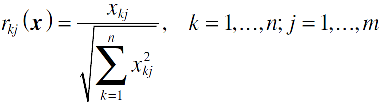
Альтернативи оцінюються за трьома критеріями. В таблиці наведені нормалізовані за співвідношенням

оцінки альтернатив:

Напрямки оптимізації критеріїв:  (min, max, max)

Вагові коефіцієнти критеріїв:        (0,4; 0,35; 0,25)

Вкажіть координату утопічної точки (PIS) за критерієм С1

View this question

Метод TOPSIS

На рисунку показано: множину альтернатив А, які оцінюються за двома критеріями (критерії максимізуються),

утопічну точку А* та антиутопічну точку А-.

Позначення: зелений колір - коло з центром в т. А- та радіусом  А-А1, синій колір - коло з центром в т. А* та радіусом  А*А1,

Порівняйте за відношенням переваги, що визначається даним методом на множині альтернатив,

альтернативи А10 та А11:

100%
0%
0%
0%
View this question

Метод TOPSIS

На рисунку показано: множину альтернатив А, які оцінюються за двома критеріями (критерії максимізуються),

утопічну точку А* та антиутопічну точку А-.

Позначення: зелений колір - коло з центром в т. А- та радіусом  А-А1, синій колір - коло з центром в т. А* та радіусом  А*А1,

Порівняйте за відношенням переваги, що визначається даним методом на множині альтернатив,

альтернативи А5 та А3:

0%
0%
100%
0%
View this question

Want instant access to all verified answers on do.ipo.kpi.ua?

Get Unlimited Answers To Exam Questions - Install Crowdly Extension Now!

Browser

Add to Chrome