logo

Crowdly

Browser

Add to Chrome

Теорія прийняття рішень

Looking for Теорія прийняття рішень test answers and solutions? Browse our comprehensive collection of verified answers for Теорія прийняття рішень at do.ipo.kpi.ua.

Get instant access to accurate answers and detailed explanations for your course questions. Our community-driven platform helps students succeed!

Якщо відомо, що пара альтернатив (x1, x2) належить мажоритарному відношенню, то з цього слідує, що ця пара належить також наступним відношенням (вибрати усі можливі варіанти):

0%
0%
0%
100%
0%
0%
View this question

На множині альтернатив {1,2,3,4} задане бінарне відношення R.

Для того, щоб множина альтернатив {3,4} була розв'язком Неймана-Моргенштерна,

необхідно (відмітьте усі можливі варіанти):

0%
100%
0%
100%
0%
0%
100%
0%
100%
100%
100%
100%
View this question

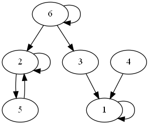
Для бінарного відношення, заданого графом:

множина строго максимальних елементів

складається з альтернатив:

0%
0%
0%
0%
0%
0%
0%
View this question

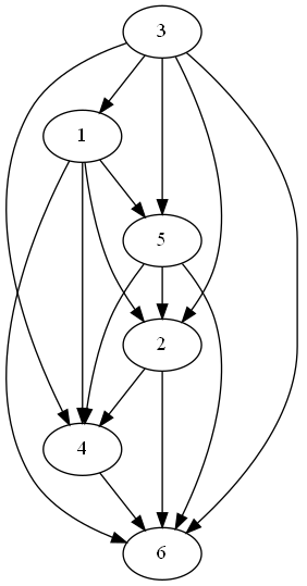
Для бінарного відношення, заданого графом:

оптимізація за домінуванням полягає у знаходженні:

0%
0%
100%
0%
0%
0%
View this question

1-max елемент - це елемент, який переважає решту за відношенням:

(відмітьте усі можливі варіанти)

0%
0%
0%
0%
0%
View this question

Визначити, до якого класу належить бінарне відношення, задане графом:

0%
0%
0%
0%
0%
0%
0%
0%
0%
View this question

Множина альтернатив capital omega=XunionY (XintersectionY = empty set). Для того, щоб множина X мала властивість внутрішньої стійкості,

необхідно, щоб виконувались умови (відмітьте усі необхідні умови):

0%
0%
0%
0%
0%
0%
0%
0%
0%
0%
0%
100%
0%
View this question

На множині альтернатив {1,2,3,4} задане асиметричне відношення R.

Для того, щоб альтернатива 2 була найбільшим елементом по R, необхідно:

View this question

Для бінарного відношення, заданого графом:

оптимізація за блокуванням полягає у знаходженні:

100%
0%
0%
0%
0%
0%
View this question
View this question

Want instant access to all verified answers on do.ipo.kpi.ua?

Get Unlimited Answers To Exam Questions - Install Crowdly Extension Now!

Browser

Add to Chrome