logo

Crowdly

Browser

Add to Chrome

Теорія прийняття рішень

Looking for Теорія прийняття рішень test answers and solutions? Browse our comprehensive collection of verified answers for Теорія прийняття рішень at do.ipo.kpi.ua.

Get instant access to accurate answers and detailed explanations for your course questions. Our community-driven platform helps students succeed!

Якщо бінарне відношення асиметричне, то співпадають множини елементів

0%
100%
0%
0%
0%
0%
100%
View this question

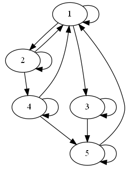
Які з бінарних відношень, задані графами, є антисиметричними:

0%
0%
0%
0%
0%
0%
0%
View this question

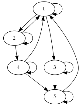
Для відношення, заданого графом, визначити R-(5) - нижній переріз в точці 5

0%
0%
100%
100%
0%
0%
View this question
View this question
View this question

Для відношення, заданого графом, визначити R-(1) - нижній переріз в точці 1

0%
0%
0%
0%
0%
0%
View this question

Множина альтернатив capital omega=XunionY (XintersectionY = empty set). Для того, щоб множина Y мала властивість зовнішньої стійкості,

необхідно, щоб виконувались умови (відмітьте усі необхідні умови):

100%
0%
0%
0%
0%
0%
0%
0%
0%
0%
0%
0%
0%
View this question
View this question

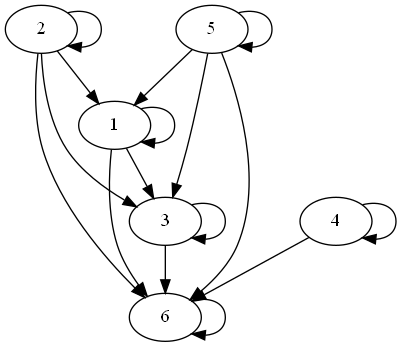
Для відношення, заданого графом:

View this question

На множині альтернатив {1,2,3,4} задане бінарне відношення R.

Для того, щоб множина альтернатив {1,3} була розв'язком Неймана-Моргенштерна,

необхідно (відмітьте усі можливі варіанти):

100%
100%
0%
100%
0%
100%
100%
0%
100%
0%
0%
100%
View this question

Want instant access to all verified answers on do.ipo.kpi.ua?

Get Unlimited Answers To Exam Questions - Install Crowdly Extension Now!

Browser

Add to Chrome