logo

Crowdly

Browser

Add to Chrome

Фізика 1

Looking for Фізика 1 test answers and solutions? Browse our comprehensive collection of verified answers for Фізика 1 at do.ipo.kpi.ua.

Get instant access to accurate answers and detailed explanations for your course questions. Our community-driven platform helps students succeed!

View this question

View this question

View this question

Вкажіть правильне формулювання закону збереження моменту імпульсу.

1.   Момент імпульсу тіла є величиною сталою.

2.   Повний момент імпульсу всіх тіл системи не змінюється з часом.

3.   Момент імпульсу замкненої системи матеріальних точок залишається сталим.

View this question

View this question

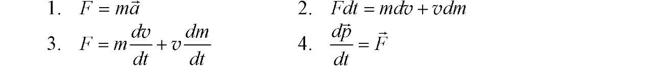
Вкажіть форму запису другого закону Ньютона, справедливу лише тоді, коли m = const.

View this question

View this question

View this question

0%
0%
0%
0%
View this question

Чому дорівнює модуль векторного добутка  ?

View this question

Want instant access to all verified answers on do.ipo.kpi.ua?

Get Unlimited Answers To Exam Questions - Install Crowdly Extension Now!

Browser

Add to Chrome