logo

Crowdly

Browser

Add to Chrome

Фізика 1

Looking for Фізика 1 test answers and solutions? Browse our comprehensive collection of verified answers for Фізика 1 at do.ipo.kpi.ua.

Get instant access to accurate answers and detailed explanations for your course questions. Our community-driven platform helps students succeed!

View this question

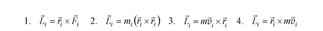
Вкажіть правильний запис формули для моменту імпульсу тіла щодо точки.

View this question

0%
0%
0%
0%
0%
View this question

0%
0%
0%
0%
0%
View this question

0%
0%
0%
0%
View this question

View this question

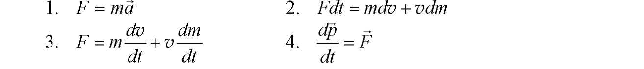
Вкажіть форму запису другого закону Ньютона, справедливу лише тоді, коли m = const.

View this question

0%
0%
0%
0%
View this question

На тіло, що рухається з постійною швидкістю в інерціальної системі відліку,

одночасно починають діяти дві сили, рівні за модулем і не збіжні за

напрямом. У результаті цього тіло:

1)   не змінить швидкості;

2)   змінить модуль швидкості, але не змінить напрям руху;

3)   змінить напрям руху;

4)   може змінити і модуль, і напрям швидкості. Відповідь залежить від величини кута між рівнодійною сил і напрямом швидкості.

100%
0%
0%
0%
View this question

View this question

Want instant access to all verified answers on do.ipo.kpi.ua?

Get Unlimited Answers To Exam Questions - Install Crowdly Extension Now!

Browser

Add to Chrome