logo

Crowdly

Browser

Add to Chrome

Теорія ймовірностей і математична статистика

Looking for Теорія ймовірностей і математична статистика test answers and solutions? Browse our comprehensive collection of verified answers for Теорія ймовірностей і математична статистика at do.ipo.kpi.ua.

Get instant access to accurate answers and detailed explanations for your course questions. Our community-driven platform helps students succeed!

Яка формула є важливим інструментом в комбінаториці та теорії ймовірностей для обчислення кількості елементів у об'єднанні кількох множин або ймовірності об'єднання кількох подій?

100%
0%
0%
0%
View this question
Ймовірнісний простір - це:
0%
0%
0%
100%
View this question
Якщо події А і В незалежні, то:
100%
0%
0%
0%
View this question
Невипадкова стала величина, яка визначає середне значення випадкової величини Х, називається:
100%
0%
0%
0%
View this question
Яка числова характеристика показує рівень осиметрії графіка щільності неперервної випадкової величини порівняно з нормальним розподілом?
0%
100%
0%
0%
View this question
Якщо дві несумісні події утворюють повну групу, то їх називають:
0%
0%
100%
0%
View this question

За допомогою якої функції на практиці можна представити щільність та функцію розподілу випадкової величини, коли функція розподілу F(y) має точки розриву y1, y2

,

...,y

n зі стрибками р1, р2, ..., рn?

0%
0%
0%
100%
View this question

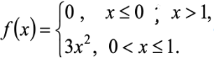
а

100%
0%
View this question

У продукції цеху деталі відмінної якості становлять

50%. Деталі укладаються в коробки по 200 шт. у кожній. Яка ймовірність того, що

число деталей відмінної якості в коробці буде відрізнятися від 100 не більш,

ніж на 5

(відповідь заокруглити до сотих)?

100%
0%
0%
0%
View this question

ц

0%
100%
0%
0%
View this question

Want instant access to all verified answers on do.ipo.kpi.ua?

Get Unlimited Answers To Exam Questions - Install Crowdly Extension Now!

Browser

Add to Chrome