logo

Crowdly

Browser

Add to Chrome

2024/2025-1,2-денна-Фізика(МЕповн)-Котвицька К.А

Looking for 2024/2025-1,2-денна-Фізика(МЕповн)-Котвицька К.А test answers and solutions? Browse our comprehensive collection of verified answers for 2024/2025-1,2-денна-Фізика(МЕповн)-Котвицька К.А at do.kart.edu.ua.

Get instant access to accurate answers and detailed explanations for your course questions. Our community-driven platform helps students succeed!

Вкажіть напрямок

сили Ампера

0%
0%
0%
0%
0%
0%
View this question

Знайти

напрямок та значення напруженості магнітного поля в точці

A

,

якщо 

0%
0%
0%
0%
0%
0%
View this question

величина зворотного поля, в яке слід помістити феромагнетик, щоб повністю розмагнітити його, називається

0%
0%
0%
0%
View this question
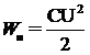
Вкажіть вираз, що характеризує співвідношення максимальних значень енергій електричного та магнітного поля в процесі роботи коливального контуру.
100%
0%
0%
0%
View this question

Величина, яка визначає значення величини, що

коливається в даний момент часу, вона показує, яка частина періоду здійснилася

на даний момент часу;

0%
0%
100%
0%
View this question

Як змінюється сила яка

діє на електрон у магнітному полі, якщо його швидкість зменшиться в два рази, а

індукція магнітного поля збільшиться в чотири рази (при інших незмінних

умовах)?

0%
0%
0%
0%
0%
View this question

Як зміниться

радіус кола, по якому частика рухається у магнітному полі, якщо швидкість

частинки збільшилася в 2 рази?

0%
0%
0%
0%
View this question

Сторона квадратної рамки

розташованої у однорідному магнітному полі збільшується в два рази. Як при

цьому змінюється магнітний потік через контур?

0%
100%
0%
0%
0%
View this question

Довжина математичного маятника зменшується в 5

разів. Як при цьому зміниться частота малих коливань такого маятника?

0%
0%
0%
0%
0%
View this question

За 15 хвилин амплітуда згасаючих коливань зменшується в 4 раза. В скільки разів амплітуда зменшиться за півгодини?

0%
0%
0%
0%
0%
View this question

Want instant access to all verified answers on do.kart.edu.ua?

Get Unlimited Answers To Exam Questions - Install Crowdly Extension Now!

Browser

Add to Chrome