logo

Crowdly

Browser

Add to Chrome

2024/2025-1,2-денна-Фізика(МЕповн)-Котвицька К.А

Looking for 2024/2025-1,2-денна-Фізика(МЕповн)-Котвицька К.А test answers and solutions? Browse our comprehensive collection of verified answers for 2024/2025-1,2-денна-Фізика(МЕповн)-Котвицька К.А at do.kart.edu.ua.

Get instant access to accurate answers and detailed explanations for your course questions. Our community-driven platform helps students succeed!

Вкажіть напрямок

сили Ампера

0%
0%
50%
0%
50%
0%
View this question

Знайти

напрямок та значення напруженості магнітного поля в точці

A

,

якщо 

0%
0%
0%
0%
50%
50%
View this question
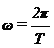
Вкажіть формулу Томсона для коливального контуру.
0%
0%
0%
0%
View this question

Виберіть умову

автоколивань:

100%
0%
0%
0%
View this question
Вважається, що найменша частота звуку, який може чути людина, становить 16 Гц. Яку довжину має така звукова хвиля у повітрі?
0%
50%
50%
0%
View this question

Електрон та протон, прискорені однаковою різницею

потенціалів, влітають в однорідне магнітне поле перпендикулярно лініям

магнітної індукції. В скільки разів радіус кривини траєкторії протона більший

радіуса кривини траєкторії електрона?

0%
0%
0%
0%
View this question

На кожні 25 см довжини

соленоїда приходиться 100 витків. Знайдіть напруженість магнітного поля в

соленоїді якщо в обмотці тече струм 1,5 кА

0%
0%
0%
0%
0%
View this question

Знайти зміну магнітного

потоку за 2 секунди, якщо в рамці виникає за цей час ЕРС індукції 4 мВ. Рамка

має 10 витків.

0%
0%
0%
100%
0%
View this question

Сторона квадратної рамки

яка знаходиться в магнітному полі зменшується в 2 рази, а магнітна індукція

збільшується в 2 рази. Як змінюється магнітний потік?

0%
0%
50%
0%
50%
View this question

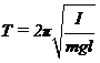
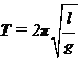
Маса математичного маятника збільшується в 3 рази.

Як при цьому зміниться період малих коливань такого маятника?

0%
0%
0%
0%
0%
View this question

Want instant access to all verified answers on do.kart.edu.ua?

Get Unlimited Answers To Exam Questions - Install Crowdly Extension Now!

Browser

Add to Chrome