logo

Crowdly

Browser

Add to Chrome

2025/2026-1-денна (м)-Теорія оптимальних систем автоматичного керування-Хісматулін В.Ш. керування

Looking for 2025/2026-1-денна (м)-Теорія оптимальних систем автоматичного керування-Хісматулін В.Ш. керування test answers and solutions? Browse our comprehensive collection of verified answers for 2025/2026-1-денна (м)-Теорія оптимальних систем автоматичного керування-Хісматулін В.Ш. керування at do.kart.edu.ua.

Get instant access to accurate answers and detailed explanations for your course questions. Our community-driven platform helps students succeed!

На який показник якості функціонування САК в перехідному режимі та як впливає частота зрізу ωЗ R?
0%
0%
0%
0%
0%
0%
View this question
За яких умов необхідно обирати параметри τ, T ПД коректуючого пристрою у вигляді ланки швидкого реагування?
0%
100%
0%
0%
0%
View this question
Поясніть назву «пропорційно-диференціальна корекція»
0%
100%
0%
View this question
Вкажіть переваги послідовних коректуючих пристроїв
100%
0%
0%
View this question
У яких випадках застосовують пропорційно-диференціальну корекцію? (декілька правильних відповідей)
0%
0%
100%
100%
View this question
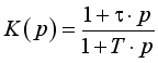
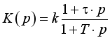
Вкажіть приклади передаточних функцій послідовних ПД коректуючих пристроїв (декілька правильних відповідей)
0%
0%
0%
View this question
Вкажіть переваги коректуючих пристроїв у вигляді негативного зворотного зв’язку
0%
100%
0%
View this question
Вкажіть призначення коректуючих пристроїв
100%
0%
0%
View this question
Як впливає пропорційно-диференціальна корекція на точність роботи САК?
0%
0%
100%
View this question
За яких умов необхідно обирати постійну часу τ ПД коректуючого пристрою у вигляді форсуючої ланки?
0%
0%
100%
View this question

Want instant access to all verified answers on do.kart.edu.ua?

Get Unlimited Answers To Exam Questions - Install Crowdly Extension Now!

Browser

Add to Chrome