logo

Crowdly

Browser

Add to Chrome

2025/2026-1-денна (м)-Теорія оптимальних систем автоматичного керування-Хісматулін В.Ш. керування

Looking for 2025/2026-1-денна (м)-Теорія оптимальних систем автоматичного керування-Хісматулін В.Ш. керування test answers and solutions? Browse our comprehensive collection of verified answers for 2025/2026-1-денна (м)-Теорія оптимальних систем автоматичного керування-Хісматулін В.Ш. керування at do.kart.edu.ua.

Get instant access to accurate answers and detailed explanations for your course questions. Our community-driven platform helps students succeed!

Якою буде інерційна помилка в статичній системі:
View this question
Якою буде інерційна помилка в системі з астатизмом другого порядку:
View this question
Якою буде статична помилка в системі з астатизмом другого порядку:
View this question
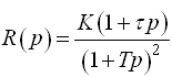
Розімкнена система має передаточну функцію

Вказати порядок астатизму за динамічною помилкою
View this question
Порядок астатизму САУ визначається:
View this question
Відомо, що в САУ кінетична помилка дорівнює нулю. Це означає, що САУ
0%
0%
0%
0%
0%
View this question
В структуру САУ послідовно додали інерційну ланку (без втрати стійкості). Внаслідок цього статична помилка САУ:
View this question
В структуру САУ послідовно додали форсуючу ланку (без втрати стійкості). Внаслідок цього кінетична помилка САУ:
View this question
Інерційною називається усталена помилка САУ:
View this question
Кінетичною називається усталена помилка САУ:
0%
0%
0%
0%
0%
View this question

Want instant access to all verified answers on do.kart.edu.ua?

Get Unlimited Answers To Exam Questions - Install Crowdly Extension Now!

Browser

Add to Chrome