logo

Crowdly

Browser

Add to Chrome

2025/2026-3-денна, заочна-Вища математика-(МЕФ)-Осмаєв О.А., Храбустовський В.І.

Looking for 2025/2026-3-денна, заочна-Вища математика-(МЕФ)-Осмаєв О.А., Храбустовський В.І. test answers and solutions? Browse our comprehensive collection of verified answers for 2025/2026-3-денна, заочна-Вища математика-(МЕФ)-Осмаєв О.А., Храбустовський В.І. at do.kart.edu.ua.

Get instant access to accurate answers and detailed explanations for your course questions. Our community-driven platform helps students succeed!

Знайти ймовірність переходу з другого у перший стан за два кроки, якщо матриця переходу за один крок
0%
0%
100%
0%
0%
0%
View this question
Знайти вектор фінальних ймовірностей для генератора марківського ланцюга з неперервним часом
0%
100%
0%
0%
0%
0%
View this question
Знайти M(Y/ Х=-2)

0%
0%
0%
100%
0%
0%
View this question
Для статистичного ряду емпірична функція розподілу має такий вигляд

0%
0%
0%
0%
0%
100%
View this question

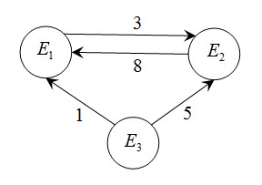
Скласти 

генератор (матрицю

інтенсивностей) марковського

ланцюга з НЧ, граф станів якого має вигляд

100%
0%
0%
0%
View this question
Дискретну випадкову величину (ДВВ) задано законом розподілу

Дисперсія ДВВ Х дорівнює
0%
100%
0%
0%
0%
0%
View this question

Знайти

довірчий інтервал для математичного сподівання

 генеральної сукупності

розподіленої за нормальним законом з

, якщо , надійність

0%
0%
100%
0%
0%
View this question
Об'єм вибірки 1,2,1,3,5,3,47,9,2,6,0,5
100%
0%
0%
0%
0%
View this question
Знайти можливе значення дисперсії D(X), яке відповідає припустимому значенню коефіцієнта кореляції r при

0%
0%
0%
0%
0%
100%
View this question

Марківський ланцюг заданий

вектором початкового розподілу ймовірностей станів системи -

та матрицею перехідних ймовірностей .

Доповнити невідомі компоненти та знайти ймовірність

знаходження системи

у першому стані

через один крок.

View this question

Want instant access to all verified answers on do.kart.edu.ua?

Get Unlimited Answers To Exam Questions - Install Crowdly Extension Now!

Browser

Add to Chrome