logo

Crowdly

Browser

Add to Chrome

2025/2026-3-денна, заочна-Вища математика-(МЕФ)-Осмаєв О.А., Храбустовський В.І.

Looking for 2025/2026-3-денна, заочна-Вища математика-(МЕФ)-Осмаєв О.А., Храбустовський В.І. test answers and solutions? Browse our comprehensive collection of verified answers for 2025/2026-3-денна, заочна-Вища математика-(МЕФ)-Осмаєв О.А., Храбустовський В.І. at do.kart.edu.ua.

Get instant access to accurate answers and detailed explanations for your course questions. Our community-driven platform helps students succeed!

За вибіркою об’єму 

 знайдена вибіркова

дисперсія

. Знайти виправлене середнє

квадратичне відхилення

.

100%
0%
0%
0%
View this question
Знайти умовне математичне сподівання координати Х при Y=6

50%
0%
0%
50%
0%
0%
View this question

Оцінка математичного сподівання ибіркове середнє ) для даної вибірки:

302
 20 1725

 дорівнює

(відповідь записати з трьома знаками після коми)

View this question

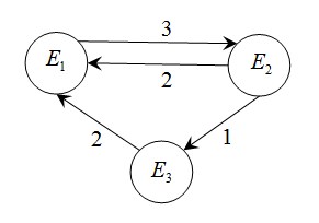
Скласти 

генератор (матрицю

інтенсивностей) марковського

ланцюга з НЧ, граф станів якого має вигляд

0%
0%
100%
0%
View this question

З генеральної сукупності обрана вибірка об’єму

.

4

10

15

15

1

23

37

Знайти чому дорівнює відносна частота варіанти

=

15.

View this question

Марківський ланцюг з неперервним часом заданий генератором

.

Знайти вектор фінальних ймовірностей розподілу станів системи.

0%
0%
100%
0%
View this question
Задано матрицю перехідних ймовірностей для МЛ з дискретним часом 

Вектор початкових ймовірностей станів  . Використовуючи властивості доповнити необхідні елементи та знайти розподіл ймовірностей станів через один крок .

100%
0%
0%
0%
View this question
Знайти умовне математичне сподівання координати Y при X=3

0%
0%
0%
0%
0%
0%
View this question

Дисперсія рівномірно розподіленої випадкової величини з щільністю дорівнює 

(відповідь записати з двома знаками після коми)

0%
0%
0%
0%
0%
View this question
Для випадкової величини, що задана функцією розподілу

знайти

View this question

Want instant access to all verified answers on do.kart.edu.ua?

Get Unlimited Answers To Exam Questions - Install Crowdly Extension Now!

Browser

Add to Chrome