logo

Crowdly

Browser

Add to Chrome

2025/2026 - 1,2 семестр - денна/заочна - Теоретична механіка (МЕФ, Будівельний) - Тіщенко В.С.

Looking for 2025/2026 - 1,2 семестр - денна/заочна - Теоретична механіка (МЕФ, Будівельний) - Тіщенко В.С. test answers and solutions? Browse our comprehensive collection of verified answers for 2025/2026 - 1,2 семестр - денна/заочна - Теоретична механіка (МЕФ, Будівельний) - Тіщенко В.С. at do.kart.edu.ua.

Get instant access to accurate answers and detailed explanations for your course questions. Our community-driven platform helps students succeed!

Дія системи сил на тіло не зміниться, якщо до неї ...
0%
0%
0%
0%
0%
View this question
Модуль рівнодіючої двох паралельних сил, спрямованих в один бік, дорівнює
View this question
У залежності від взаємних рухів тіл тертя між твердими тілами буває трьох видів. Якщо відносна швидкість поверхонь дотику тіл, дорівнює нулю, то виникає...
0%
0%
0%
0%
0%
View this question

Геометрична умова рівноваги збіжної системи сил:

View this question

Що називається реакцією опори (зв'язку) ?

View this question

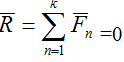
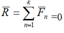
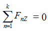
Довільна плоска система сил знаходиться в стані

рівноваги, якщо головний вектор и головний момент дорівнюють....

View this question

Що таке сила?

View this question
Модуль рівнодіючої двох паралельних сил, не рівних за модулем, спрямованих у різні боки, дорівнює ..
View this question
Якщо конструкція має n складових і навантажена плоскою системою сил, то кількість рівнянь рівноваги дорівнює
View this question

Модуль рівнодійної системи збіжних сил визначається формулою

0%
0%
0%
0%
0%
View this question

Want instant access to all verified answers on do.kart.edu.ua?

Get Unlimited Answers To Exam Questions - Install Crowdly Extension Now!

Browser

Add to Chrome