logo

Crowdly

Browser

Add to Chrome

2025/2026 - 1,2 семестр - денна/заочна - Теоретична механіка (МЕФ, Будівельний) - Тіщенко В.С.

Looking for 2025/2026 - 1,2 семестр - денна/заочна - Теоретична механіка (МЕФ, Будівельний) - Тіщенко В.С. test answers and solutions? Browse our comprehensive collection of verified answers for 2025/2026 - 1,2 семестр - денна/заочна - Теоретична механіка (МЕФ, Будівельний) - Тіщенко В.С. at do.kart.edu.ua.

Get instant access to accurate answers and detailed explanations for your course questions. Our community-driven platform helps students succeed!

Перелічите опори, напрямки реакції яких відомі:
View this question

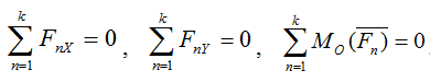
Аналітичні умови рівноваги довільної системи сил в площині відображені формулами

0%
0%
0%
0%
0%
View this question

У якому випадку реакція

підшипника надана вірно?

0%
0%
0%
50%
View this question

Головний момент плоскої системи сил визначається формулою

View this question
Одиницею вимірювання плеча сили є …
View this question

Момент сили  відносно осі У визначається...

0%
0%
0%
0%
View this question
Максимальна сила тертя  пропорційна ...
View this question
Коефіцієнт тертя ковзання f залежить від...
0%
0%
0%
0%
0%
View this question
Момент сили відносно точки не змінюється, якщо…
View this question
Визначте модуль сили
Image failed to load
, якщо до тіла прикладена зрівноважена плоска система трьох сил, лінії дії яких утворюють кути 120° і F1 = F2 = 10Н
View this question

Want instant access to all verified answers on do.kart.edu.ua?

Get Unlimited Answers To Exam Questions - Install Crowdly Extension Now!

Browser

Add to Chrome