logo

Crowdly

Browser

Add to Chrome

Фізика для спеціальностей 015, 161, 185 ФПНТ, 091, 183, 263 ІП (Титаренко В.В.)

Looking for Фізика для спеціальностей 015, 161, 185 ФПНТ, 091, 183, 263 ІП (Титаренко В.В.) test answers and solutions? Browse our comprehensive collection of verified answers for Фізика для спеціальностей 015, 161, 185 ФПНТ, 091, 183, 263 ІП (Титаренко В.В.) at do.nmu.org.ua.

Get instant access to accurate answers and detailed explanations for your course questions. Our community-driven platform helps students succeed!

Укажіть номер правильної відповіді. Сталій Холла відповідає значення:

View this question

Укажіть номер правильної відповіді. Напрям дії сили Ампера визначається за правилом лівої руки. Згідно з цим правилом відігнутий великий палець має співпадати:

0%
0%
0%
View this question

 Визначте загальний опір електричного кола. R1= 2 Ом, R2=4 Ом, R3=4 Ом.

ris

View this question

Укажіть номер правильної відповіді. Електричний струм тече по двох послідовно з'єднаних провідниках різного перерізу S1 і S2 (S1 > S2). Порівняєте сили струмів у цих провідниках.

View this question

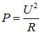
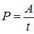
Укажіть номери правильних відповідей. Потужності струму відповідає рівняння:

View this question

Укажіть правильну відповідь. На якому резисторі під час проходження електричного струму виділяється більша потужність?

ris

0%
0%
0%
View this question

Укажіть вірне твердження. За законом Ома для ділянки кола залежність сили струму від опору

0%
0%
0%
View this question

Заряджені провідні кульки 1, 2 та 3 (дивись рисунок) мають однакові розміри. Який заряд буде мати друга кулька, якщо нею спочатку торкнутися першої кульки, а потім третьої? Вважати заряд q=1 Кл.

ris

View this question

Запишіть правильну відповідь.

Визначити напруженість електричного поля, створюваного зарядженою сферою радіусом 45 см на відстані 7 см від центру сфери. Заряд сфери 4 мкКл.

View this question

Укажіть вірну відповідь. Як зміниться напруженість електричного поля, створеного точковим зарядом, при збільшенні відстані від нього в 2 рази?

View this question

Want instant access to all verified answers on do.nmu.org.ua?

Get Unlimited Answers To Exam Questions - Install Crowdly Extension Now!

Browser

Add to Chrome