logo

Crowdly

Browser

Add to Chrome

Фізика для спеціальностей 015, 161, 185 ФПНТ, 091, 183, 263 ІП (Титаренко В.В.)

Looking for Фізика для спеціальностей 015, 161, 185 ФПНТ, 091, 183, 263 ІП (Титаренко В.В.) test answers and solutions? Browse our comprehensive collection of verified answers for Фізика для спеціальностей 015, 161, 185 ФПНТ, 091, 183, 263 ІП (Титаренко В.В.) at do.nmu.org.ua.

Get instant access to accurate answers and detailed explanations for your course questions. Our community-driven platform helps students succeed!

Запишіть правильну відповідь.

Визначити напруженість електричного поля, створюваного зарядженою сферою радіусом 45 см на відстані 7 см від центру сфери. Заряд сфери 4 мкКл.

View this question

Запишіть правильну відповідь.

Знайти значення напруженості електричного поля в точці А. Поле створено двома горизонтальними безмежними провідними пластинами, перша з поверхневою густиною заряду 32·10-9 Кл/м2, друга з поверхневою густиною заряду –14,3·10-9 Кл/м2 (дивись рисунок). Розміри маленької клітинки 5 см × 5 см.

View this question

Укажіть вірну відповідь. Дві однакових кулі, які заряджені однойменними зарядами 10 мкКл й 2 мкКл, перебувають на деякій відстані одна від одної. Як зміниться сила кулонівської взаємодії після короткочасного з'єднання куль провідником?

0%
0%
0%
0%
View this question

Укажіть вірну відповідь. Електричне поле створюється двома нескінченними паралельними зарядженими пластинами. У скільки разів зміниться напруженість електричного поля, якщо відстань між пластинами збільшити в два рази?

0%
0%
0%
0%
View this question

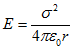
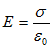
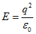
Укажіть правильну відповідь.

Яка з наведених формул відповідає напруженості електричного поля між двома різнойменно зарядженими пластинами в вакуумі з однаковою густиною заряду?

View this question

Укажіть правильні твердження. Існують заряди:

View this question

Укажіть правильну відповідь.

Заряджені провідні кульки 1, 2 та 3 (дивись рисунок) мають однакові розміри. Який заряд буде мати перша кулька, якщо нею спочатку торкнутися третьої кульки, а потім другої?

View this question

Запишіть правильну відповідь.

Визначити напруженість електричного поля, створюваного зарядженою сферою радіусом 22 см на відстані 18 см від центру сфери. Заряд сфери 12 мкКл.

View this question

Вкажіть номер вірної відповіді. В яких одиницях вимірюється індуктивний опір?

View this question

Укажіть номер правильної відповіді. При збільшенні відстані між двома зарядами в 1,5 рази сила взаємодії між ними:

0%
0%
0%
0%
0%
0%
0%
View this question

Want instant access to all verified answers on do.nmu.org.ua?

Get Unlimited Answers To Exam Questions - Install Crowdly Extension Now!

Browser

Add to Chrome