logo

Crowdly

Browser

Add to Chrome

Загальна фізика

Looking for Загальна фізика test answers and solutions? Browse our comprehensive collection of verified answers for Загальна фізика at e-learning.lnu.edu.ua.

Get instant access to accurate answers and detailed explanations for your course questions. Our community-driven platform helps students succeed!

Вкажіть одиниці вимірювання напруженості електричного поля:
0%
0%
0%
100%
View this question
Коефіцієнт поглинання - це фізична величина, яка дорівнює:
0%
0%
0%
0%
0%
View this question

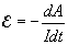
Встановіть відповідність між законами та формулами з

електростатики:

View this question
Вкажіть рівняння Ван-дер-Ваальса для довільної маси газу:
0%
100%
0%
0%
0%
View this question
Вкажіть одиниці вимірювання потоку вектора магнітної індукції:
0%
0%
100%
0%
0%
View this question
Потенціал електричного поля – це:
0%
0%
0%
100%
0%
View this question
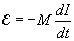
Закон Фарадея для електромагнітної індукції:
0%
0%
0%
0%
0%
View this question

Максимальна сила, яка діє

на матеріальну точку масою 0,05 кг, що здійснює гармонічне коливання,

дорівнює 3·10

–2 

Н. Знайти період коливань, якщо амплітуда

0,04 м

0%
0%
0%
0%
0%
View this question
Вкажіть правильне формулювання закону Кірхгофа:
0%
0%
0%
100%
0%
View this question

Що називають вектором напруженості електричного

поля?

0%
100%
0%
0%
0%
View this question

Want instant access to all verified answers on e-learning.lnu.edu.ua?

Get Unlimited Answers To Exam Questions - Install Crowdly Extension Now!

Browser

Add to Chrome