logo

Crowdly

Browser

Add to Chrome

Загальна фізика

Looking for Загальна фізика test answers and solutions? Browse our comprehensive collection of verified answers for Загальна фізика at e-learning.lnu.edu.ua.

Get instant access to accurate answers and detailed explanations for your course questions. Our community-driven platform helps students succeed!

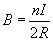
Вкажіть закон Біо-Савара-Лапласа
0%
100%
0%
0%
0%
View this question
Яка з формул відповідає закону Брюстера (може бути не одна відповідь)?
0%
0%
0%
0%
0%
View this question
Що називають дифракцією?
0%
0%
0%
100%
0%
View this question
Явище взаємоіндукції – це:
0%
0%
0%
0%
0%
View this question
Яке світло називають плоскополяризованим?
0%
0%
0%
0%
0%
View this question
Що називають фотоефектом?
0%
100%
0%
0%
View this question
Чим визначається тембр звуку?
0%
0%
0%
0%
100%
View this question
У якому випадку тіло вважається матеріальною точкою?
0%
0%
0%
0%
100%
View this question
Вкажіть визначення явища внутрішнього тертя:
0%
0%
100%
0%
0%
View this question

Чому рівна робота, здійснювана

газом при ізотермічному процесі?

0%
0%
0%
0%
View this question

Want instant access to all verified answers on e-learning.lnu.edu.ua?

Get Unlimited Answers To Exam Questions - Install Crowdly Extension Now!

Browser

Add to Chrome