logo

Crowdly

Browser

Add to Chrome

TI301 - Structures des Données et Programmation 2

Looking for TI301 - Structures des Données et Programmation 2 test answers and solutions? Browse our comprehensive collection of verified answers for TI301 - Structures des Données et Programmation 2 at efreussite.fr.

Get instant access to accurate answers and detailed explanations for your course questions. Our community-driven platform helps students succeed!

Soient les algorithmes suivants :

algorithme algo1(temp : t_cell *)

si temp ≠ NULL

afficher(temp->value) // on affiche aussi un espace à la suite de la valeur

algo1(temp->next)

afficher(temp->value) // on affiche aussi un espace à la suite de la valeur

algorithme algo2(liste : t_list)

algo1(liste.head)

Quel est l'affichage obtenu si on utilise algo2() sur la liste ?

View this question

Soient les algorithmes suivants :

algorithme algo1(temp : t_cell *)

si temp ≠ NULL

afficher(temp->value) // on affiche aussi un espace à la suite de la valeur

algo1(temp->next)

afficher(temp->value) // on affiche aussi un espace à la suite de la valeur

algorithme algo2(liste : t_list)

algo1(liste.head)

Quel est l'affichage obtenu si on utilise algo2() sur la liste ?

View this question

Soit la fonction suivante :

Fonction

Quelle opération fait donc cette fonction pour les deux nœuds pn1 et pn2 fournis en paramètre ?

 

 

0%
0%
0%
0%
View this question

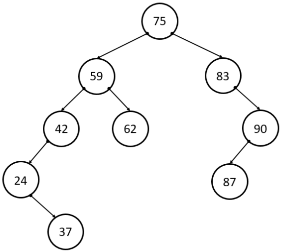
Soit l'ABR suivant :

Arbre

Combien de nœuds ont un facteur d'équilibre (BF) égal à 0 ou à +1 ?

0%
0%
0%
0%
View this question

On cherche une méthode pour répondre à la question précédente

Question

Quelle méthode permet de vérifier la réponse précédente ?

 

0%
0%
0%
0%
View this question

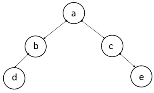
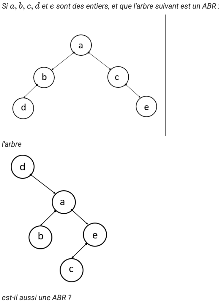
Si a, b, c, d et e sont des entiers, et que l'arbre suivant est un ABR :

Arbre

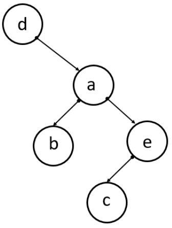
l'arbre

Arbre

est-il aussi une ABR ?

View this question

Soit la fonction suivante :

Fonction

Quelle opération fait donc cette fonction pour les deux nœuds pn1 et pn2 fournis en paramètre ?

 

 

0%
0%
0%
0%
View this question

Donnez le résultat du parcours préfixe de l'arbre suivant

Vous indiquerez les valeurs affichées, séparées par la caractère espace ' ' ou virgule

Arbre

View this question

Donnez le résultat du parcours postfixe de l'arbre suivant

Vous indiquerez les valeurs affichées, séparées par la caractère espace ' ' ou virgule

Arbre

View this question

Donnez le résultat du parcours infixe de l'arbre suivant

Vous indiquerez les valeurs affichées, séparées par la caractère espace ' ' ou virgule

Arbre

View this question

Want instant access to all verified answers on efreussite.fr?

Get Unlimited Answers To Exam Questions - Install Crowdly Extension Now!

Browser

Add to Chrome