logo

Crowdly

Browser

Add to Chrome

TI301 - Structures des Données et Programmation 2

Looking for TI301 - Structures des Données et Programmation 2 test answers and solutions? Browse our comprehensive collection of verified answers for TI301 - Structures des Données et Programmation 2 at efreussite.fr.

Get instant access to accurate answers and detailed explanations for your course questions. Our community-driven platform helps students succeed!

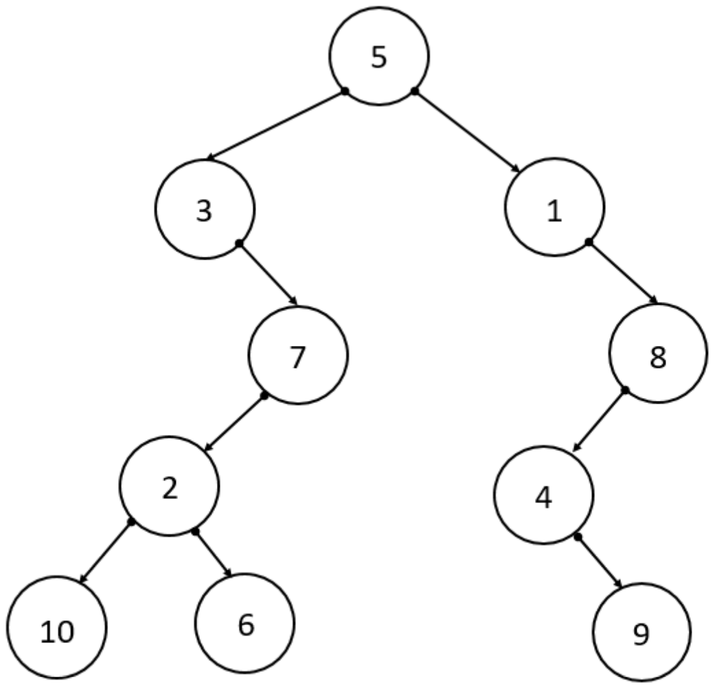
Donnez le résultat du parcours postfixe de l'arbre suivant

Vous indiquerez les valeurs affichées, séparées par la caractère espace ' ' ou virgule

Arbre

View this question

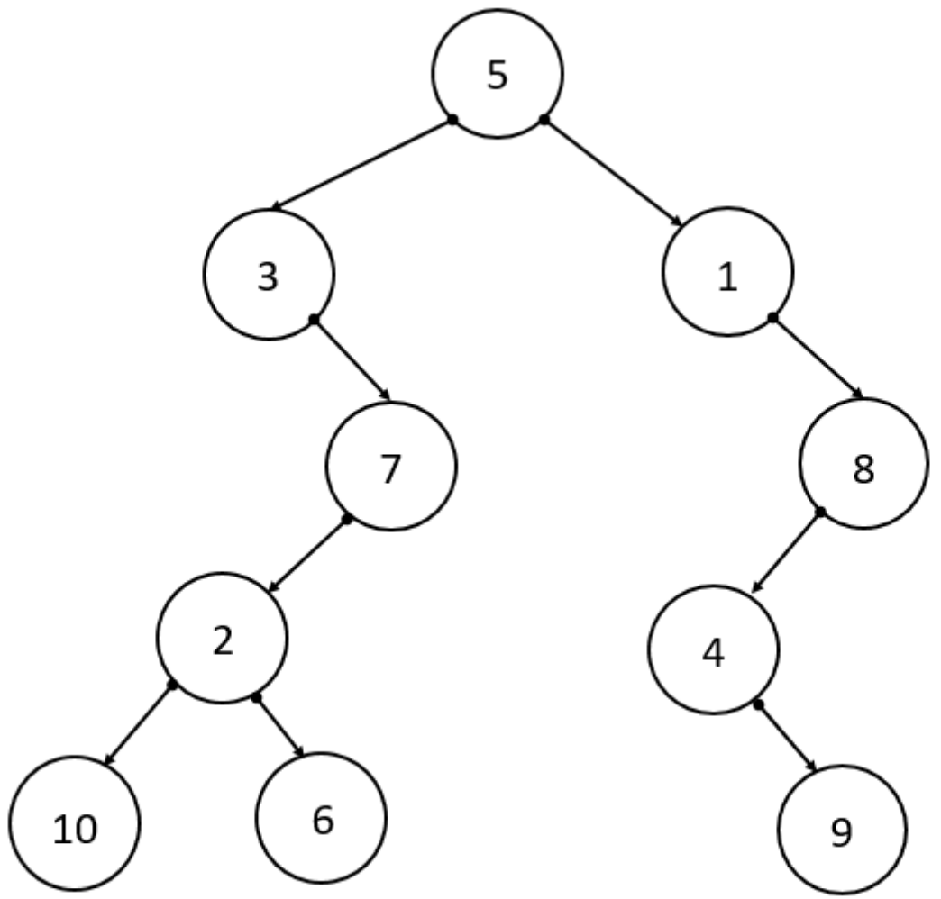
Donnez le résultat du parcours préfixe de l'arbre suivant

Vous indiquerez les valeurs affichées, séparées par la caractère espace ' ' ou virgule

Arbre

View this question

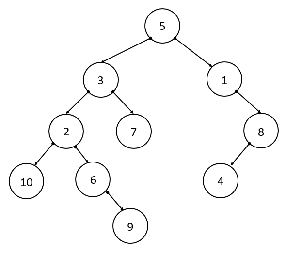
Donnez le résultat du parcours infixe de l'arbre suivant

Vous indiquerez les valeurs affichées, séparées par la caractère espace ' ' ou virgule

Arbre

View this question

Quel est l'ordre dans lequel sont listés les sommets de l'arbre suivant en parcours postfixe ?

Arbre

0%
0%
0%
0%
View this question

Quel est l'ordre dans lequel sont listés les sommets de l'arbre suivant en parcours préfixe ?

Arbre

0%
0%
0%
0%
View this question

Quel est l'ordre dans lequel sont listés les sommets de l'arbre suivant en parcours infixe ?

Arbre

View this question

Quel est l'ordre dans lequel sont listés les sommets de l'arbre suivant en parcours infixe ?

Arbre

View this question

Quel est l'ordre dans lequel sont listés les sommets de l'arbre suivant en parcours postfixe ?

Arbre

0%
0%
0%
0%
View this question

Quel est l'ordre dans lequel sont listés les sommets de l'arbre suivant en parcours préfixe ?

Arbre

View this question

VRAI ou FAUX

Il est possible d'implémenter une file avec un tableau, en utilisant le type suivant :

Code

0%
0%
View this question

Want instant access to all verified answers on efreussite.fr?

Get Unlimited Answers To Exam Questions - Install Crowdly Extension Now!

Browser

Add to Chrome