logo

Crowdly

Browser

Add to Chrome

TI301 - Structures des Données et Programmation 2

Looking for TI301 - Structures des Données et Programmation 2 test answers and solutions? Browse our comprehensive collection of verified answers for TI301 - Structures des Données et Programmation 2 at efreussite.fr.

Get instant access to accurate answers and detailed explanations for your course questions. Our community-driven platform helps students succeed!

VRAI ou FAUX ?

Il est possible d'implémenter une file avec une liste chaînée simple (type t_std_list)

100%
0%
View this question

VRAI ou FAUX

Il est possible d'implémenter une file avec un tableau, en utilisant le type suivant :

Code

100%
0%
View this question

Quel est le type de liste le plus adapté pour implémenter une file ?

View this question

Quel est le bon prototype de la fonction dequeue() pour une file stockant des entiers ?

0%
0%
0%
0%
View this question

Dans un parcours infixe, quel est le dernier nœud affiché / visité ?

 

 

View this question

Lorsqu'on insère une nouvelle valeur dans un AVL non vide, alors :

 

 

View this question

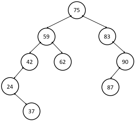
Soit l'ABR suivant :

Arbre

Combien de nœuds ont un facteur d'équilibre (BF) égal à 0 ou à +1 ?

View this question

On cherche une méthode pour répondre à la question précédente

Question

Quelle méthode permet de vérifier la réponse précédente ?

 

0%
0%
0%
0%
View this question

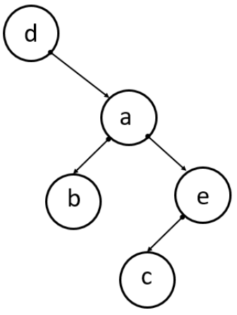
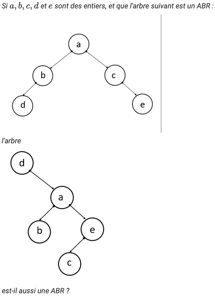
Si a, b, c, d et e sont des entiers, et que l'arbre suivant est un ABR :

Arbre

l'arbre

Arbre

est-il aussi une ABR ?

0%
0%
View this question

Pour effectuer un parcours en largeur, quelle autre structure de données est nécessaire ?

View this question

Want instant access to all verified answers on efreussite.fr?

Get Unlimited Answers To Exam Questions - Install Crowdly Extension Now!

Browser

Add to Chrome