logo

Crowdly

Browser

Add to Chrome

Statistics ☑️

Looking for Statistics ☑️ test answers and solutions? Browse our comprehensive collection of verified answers for Statistics ☑️ at elearn.nubip.edu.ua.

Get instant access to accurate answers and detailed explanations for your course questions. Our community-driven platform helps students succeed!

A regression analysis with two or more independent variables, or at least one non linear predictor, is referred to as

0%
0%
0%
0%
View this question

When use average indexes:

0%
100%
100%
View this question

You are analyzing a scatter plot that has a negative correlation. What is true of the of the x and y values?

0%
0%
0%
View this question

Which one of the following statement BEST describes the time series plot for the period shown?

v6

0%
100%
0%
0%
View this question

The coefficient of determination is characterized by the ratio of:

0%
0%
0%
View this question

What means  statistical hypothesis?

0%
0%
100%
View this question

Two dice were rolled 50 times, and their sums were recorded in this bar graph. Find the mode of the data.

v5

100%
0%
0%
0%
View this question

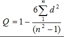
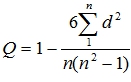
CoefficientofcorrelationofranksSpirmenisdefinedby the formula:

0%
0%
50%
View this question

Mistake of first type is that by the verification is accepted null hypothesis, which in the reality is wrong

50%
50%
View this question

If the coefficient of determination is 0.81, the correlation coefficient

0%
0%
0%
0%
View this question

Want instant access to all verified answers on elearn.nubip.edu.ua?

Get Unlimited Answers To Exam Questions - Install Crowdly Extension Now!

Browser

Add to Chrome