logo

Crowdly

Browser

Add to Chrome

Конфліктологія (ВМ) ☑️

Looking for Конфліктологія (ВМ) ☑️ test answers and solutions? Browse our comprehensive collection of verified answers for Конфліктологія (ВМ) ☑️ at elearn.nubip.edu.ua.

Get instant access to accurate answers and detailed explanations for your course questions. Our community-driven platform helps students succeed!

Структурними елементами конфлікту є:

View this question

Відображення предмета конфлікту у свідомості суб’єктів конфліктної взаємодії визначає

View this question

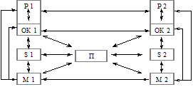
Ця схема ілюструє

View this question

Сутність зазначеного методу полягає у послідовному заповненні «карти» конфлікту, розділеної на декілька секторів (залежності від кількості учасників конфлікту). Йдеться про такий метод

0%
0%
0%
0%
0%
View this question

Необхідними й достатніми умовами виникнення конфлікту є наявність у соціальної взаємодії протилежно спрямованих мотивів і суджень

View this question

Конфлікт і суперечність - це тотожні поняття. Це твердження є правильним

0%
0%
View this question

Активне втручання дослідника у діяльність досліджуваного з метою створення умов, у яких виявляється певна закономірність називається

View this question

Тенденція до досягнення мети тим , чим ближче до неї суб'єкт - градієнт наближення (Н. Міллер).

View this question

Властивий особистості типовий стереотип поведінки тісно пов'язаний із акцентуацією характеру - це конфліктність

100%
0%
View this question

Рух проти людей - це така модель вирішення внутрішньоособистісного конфлікту: набуття установки на руйнування світу, боротьбу проти нього (за К. Хорні).

0%
0%
View this question

Want instant access to all verified answers on elearn.nubip.edu.ua?

Get Unlimited Answers To Exam Questions - Install Crowdly Extension Now!

Browser

Add to Chrome