logo

Crowdly

Browser

Add to Chrome

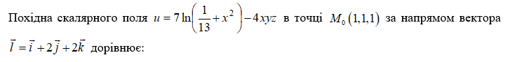
Вища математика (1-2 курс, 1р ВО, БІКС, очна)

Looking for Вища математика (1-2 курс, 1р ВО, БІКС, очна) test answers and solutions? Browse our comprehensive collection of verified answers for Вища математика (1-2 курс, 1р ВО, БІКС, очна) at elearning.kubg.edu.ua.

Get instant access to accurate answers and detailed explanations for your course questions. Our community-driven platform helps students succeed!

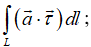
Який вираз треба підставити замість трикрапки у праву частину  заданої ф

ормули, щоб

отримати правильну формулу:

View this question

0%
0%
0%
0%
View this question

View this question

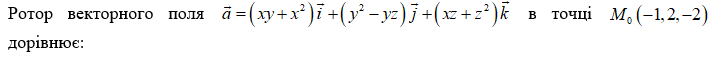
Який вираз треба підставити замість трикрапки у праву частину  заданої ф

ормули, щоб

отримати правильну формулу:

0%
0%
0%
0%
View this question

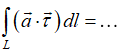
Який вираз треба підставити замість трикрапки у праву частину  заданої ф

ормули, щоб

отримати правильну формулу:

0%
0%
0%
100%
View this question

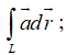
Який вираз треба підставити замість трикрапки у праву частину  заданої ф

ормули, щоб

отримати правильну формулу:

0%
0%
100%
0%
View this question

Який вираз треба підставити замість трикрапки у праву частину  заданої ф

ормули, щоб

отримати правильну формулу:

50%
0%
0%
50%
View this question
   Визначити, чи є векторне поле соленоїдальним, потенціальним або лапласовим. У випадку, якщо поле потенціальне – знайти також його потенціал.

  УВАГА!

Відповідь подати або як

зображення, або як
pdf-файл з наведеним розв’язанням!

  P.S

. Завдання

зараховується лише після особистого захисту викладачу!

View this question

View this question

View this question

Want instant access to all verified answers on elearning.kubg.edu.ua?

Get Unlimited Answers To Exam Questions - Install Crowdly Extension Now!

Browser

Add to Chrome