logo

Crowdly

Browser

Add to Chrome

Вища математика (1-2 курс, 1р ВО, БІКС, очна)

Looking for Вища математика (1-2 курс, 1р ВО, БІКС, очна) test answers and solutions? Browse our comprehensive collection of verified answers for Вища математика (1-2 курс, 1р ВО, БІКС, очна) at elearning.kubg.edu.ua.

Get instant access to accurate answers and detailed explanations for your course questions. Our community-driven platform helps students succeed!

Якщо функція f(x), визначена на проміжку (–∞, ∞), є парною, коефіцієнти її розкладу в інтеграл Фур’є мають вигляд:

View this question

View this question

View this question

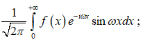
Обернене перетворення Фур’є для функції f(x), має вигляд:

0%
0%
0%
0%
View this question

Вказати

правильні твердження:

0%
0%
0%
0%
View this question
Вказати вірні твердження:
View this question

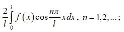
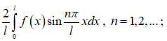
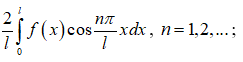
Якщо функція f(x), визначена на відрізку [–l, l], є непарною, коефіцієнти її розкладу в ряд Фур’є мають вигляд:

View this question
View this question

Косинус-перетворення Фур’є для функції f(x) має вигляд:

View this question

Якщо функція f(x), визначена на проміжку (–∞, ∞), є парною, її обернене перетворення Фур’є має вигляд:

0%
0%
0%
0%
View this question

Want instant access to all verified answers on elearning.kubg.edu.ua?

Get Unlimited Answers To Exam Questions - Install Crowdly Extension Now!

Browser

Add to Chrome