logo

Crowdly

Browser

Add to Chrome

Вища математика (1-2 курс, 1р ВО, БІКС, очна)

Looking for Вища математика (1-2 курс, 1р ВО, БІКС, очна) test answers and solutions? Browse our comprehensive collection of verified answers for Вища математика (1-2 курс, 1р ВО, БІКС, очна) at elearning.kubg.edu.ua.

Get instant access to accurate answers and detailed explanations for your course questions. Our community-driven platform helps students succeed!

View this question

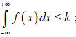
Достатньою для зображення інтегралом

Фур’є

функції f(x), визначеної на проміжку (–∞, ∞), є умова:

View this question

View this question

View this question

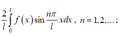
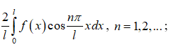
Якщо функція f(x), визначена на відрізку [–l, l], є парною, коефіцієнти її розкладу в ряд Фур’є мають вигляд:

0%
0%
0%
0%
View this question
View this question

View this question

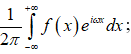
Якщо функція f(x), визначена на проміжку (–∞, ∞), є непарною, її обернене перетворення Фур’є має вигляд:

View this question

View this question

Якщо функція f(x) визначена на проміжку (–∞, ∞)

, то коефіцієнти її розкладу в інтеграл Фур’є у комплексній формі мають

вигляд:

0%
0%
0%
0%
View this question

Want instant access to all verified answers on elearning.kubg.edu.ua?

Get Unlimited Answers To Exam Questions - Install Crowdly Extension Now!

Browser

Add to Chrome