logo

Crowdly

Browser

Add to Chrome

Вища математика (1-2 курс, 1р ВО, БІКС, очна)

Looking for Вища математика (1-2 курс, 1р ВО, БІКС, очна) test answers and solutions? Browse our comprehensive collection of verified answers for Вища математика (1-2 курс, 1р ВО, БІКС, очна) at elearning.kubg.edu.ua.

Get instant access to accurate answers and detailed explanations for your course questions. Our community-driven platform helps students succeed!

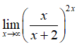
Границею функції  є:

View this question

Інтеграл   дорівнює

0%
0%
0%
0%
View this question

Аргумент комплексного

числа – це:

View this question

   Вкажіть у відповіді уявну частину комплексного числа, яке є часткою комплексних чисел z1=2–3i, z2=–5+i.

Якщо у відповіді виходить дробове число, то записати його у форматі */*, наприклад 1/22 або -1/22, без пробілів.

View this question

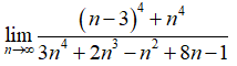
Границею послідовності      є:

0%
0%
0%
0%
View this question

  Якщо лівостороння і правостороння границі функції в деякій точці  \fontsize{3} x_0 \fontsize{3} x_0 скінченні і рівні, але не дорівнюють значенню функції в цій точці, то ...

0%
0%
0%
0%
View this question

  Нехай a, b, c і d

– дійсні числа, а

i – уявна одиниця. З рівності

(a + bi)∙(c +

di)=|a+bi|

2 випливає, що ...

0%
0%
100%
0%
View this question
Вказати функцію, графік якої є симетричним відносно початку координат.
0%
0%
0%
0%
View this question

Сума комплексних чисел z1=3-4i, z2=4+2i дорівнює:

0%
0%
0%
View this question

View this question

Want instant access to all verified answers on elearning.kubg.edu.ua?

Get Unlimited Answers To Exam Questions - Install Crowdly Extension Now!

Browser

Add to Chrome