logo

Crowdly

Browser

Add to Chrome

Вища математика (1-2 курс, 1р ВО, БІКС, очна)

Looking for Вища математика (1-2 курс, 1р ВО, БІКС, очна) test answers and solutions? Browse our comprehensive collection of verified answers for Вища математика (1-2 курс, 1р ВО, БІКС, очна) at elearning.kubg.edu.ua.

Get instant access to accurate answers and detailed explanations for your course questions. Our community-driven platform helps students succeed!

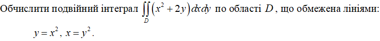
View this question

View this question

View this question

   Відповідь подати у вигляді зображення наведеного розв'язання завдання, написаного від руки.

View this question

 

View this question
View this question

  

View this question

View this question

View this question

  

  Відповідь надати у вигляді цілого

числа, десяткового або звичайного (неправильного) дробу без округлень.

Якщо границя буде дорівнювати нескінченності, то у відповіді вказати число

1000000.

View this question

Want instant access to all verified answers on elearning.kubg.edu.ua?

Get Unlimited Answers To Exam Questions - Install Crowdly Extension Now!

Browser

Add to Chrome