logo

Crowdly

Browser

Add to Chrome

Вища математика (1-2 курс, 1р ВО, БІКС, очна)

Looking for Вища математика (1-2 курс, 1р ВО, БІКС, очна) test answers and solutions? Browse our comprehensive collection of verified answers for Вища математика (1-2 курс, 1р ВО, БІКС, очна) at elearning.kubg.edu.ua.

Get instant access to accurate answers and detailed explanations for your course questions. Our community-driven platform helps students succeed!

View this question

Файл з відповіддю прикріпіть до завдання

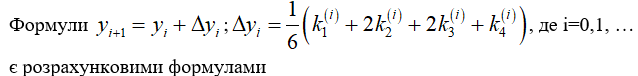
View this question

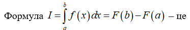
View this question

Перший інтерполяційний многочлен Ньютона для функції, що має значення f

(1)=1;

f(2)=–1; f(3)=–4

View this question

Наближені методи обчислення інтегралів можна

поділити на 2 групи:

View this question

View this question

50%
0%
View this question

50%
0%
0%
View this question

View this question

При розв’язуванні СЛАР методом Гаусса-Жордана

наближений розв’язок визначається за останнім кроком таблиці і дорівнює

View this question

Want instant access to all verified answers on elearning.kubg.edu.ua?

Get Unlimited Answers To Exam Questions - Install Crowdly Extension Now!

Browser

Add to Chrome