logo

Crowdly

Browser

Add to Chrome

Вища математика (1-2 курс, 1р ВО, БІКС, очна)

Looking for Вища математика (1-2 курс, 1р ВО, БІКС, очна) test answers and solutions? Browse our comprehensive collection of verified answers for Вища математика (1-2 курс, 1р ВО, БІКС, очна) at elearning.kubg.edu.ua.

Get instant access to accurate answers and detailed explanations for your course questions. Our community-driven platform helps students succeed!

Чисельний метод є коректним, якщо він:
View this question

View this question

View this question

View this question

View this question

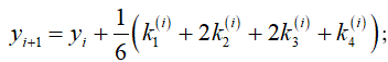
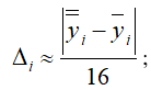
Оцінка абсолютної похибки

методу Рунге-Кутти четвертого порядку

точності

має вигляд:

50%
50%
0%
0%
View this question

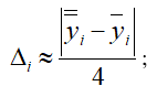
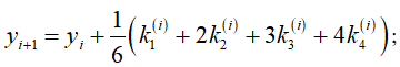
Формула методу Рунге-Кутти четвертого порядку

точності – це

50%
0%
0%
0%
View this question

View this question

View this question

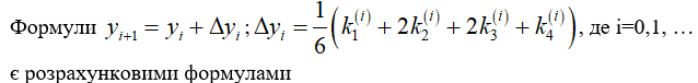
Формула для отримання наближеного значення інтеграла

являє

собою

0%
50%
0%
View this question

Want instant access to all verified answers on elearning.kubg.edu.ua?

Get Unlimited Answers To Exam Questions - Install Crowdly Extension Now!

Browser

Add to Chrome