logo

Crowdly

Browser

Add to Chrome

Вища математика (1-2 курс, 1р ВО, БІКС, очна)

Looking for Вища математика (1-2 курс, 1р ВО, БІКС, очна) test answers and solutions? Browse our comprehensive collection of verified answers for Вища математика (1-2 курс, 1р ВО, БІКС, очна) at elearning.kubg.edu.ua.

Get instant access to accurate answers and detailed explanations for your course questions. Our community-driven platform helps students succeed!

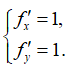
Для знаходження стаціонарної точки функції z = f(x, y)

треба

розв’язати систему:

View this question

 

   Відповідь надати у вигляді десяткового дробу або цілого числа.

View this question

Що не є правильною областю в разі потрійного

інтеграла?

View this question

   Відповідь подати у вигляді зображення наведеного розв'язання завдання, написаного від руки.

View this question

Відповідь надати або у вигляді десяткового числа (якщо можна обчислити

без округлення), або у вигляді неправильного звичайного дробу.

Наприклад, -5,5 або 29/26.

View this question

З’ясувати характер поверхні, що зображується функцією z = f(x, y)

,

можна за допомогою

0%
0%
0%
0%
View this question

Вкажіть всі формули, які застосовують для

обчислення площі плоскої фігури за допомогою подвійного інтегралу в різних

системах координат:

View this question

Відповідь надати або у вигляді десяткового числа (якщо можна обчислити

без округлення), або у вигляді неправильного звичайного дробу, або у вигляді добутку з числом pi чи коренем sqrt.

Наприклад, -5,5 або 29/26, або 12pi, або 12sqrt(6).

View this question

Відповідь надати або у вигляді десяткового числа (якщо можна обчислити

без округлення), або у вигляді неправильного звичайного дробу, або у вигляді добутку з числом pi чи коренем sqrt.

Наприклад, -5,5 або 29/26, або 12pi, або 12sqrt(6).

View this question

Вкажіть правильні твердження щодо кратних інтегралів:

0%
0%
0%
0%
View this question

Want instant access to all verified answers on elearning.kubg.edu.ua?

Get Unlimited Answers To Exam Questions - Install Crowdly Extension Now!

Browser

Add to Chrome