logo

Crowdly

Browser

Add to Chrome

Вища математика (1-2 курс, 1р ВО, БІКС, очна)

Looking for Вища математика (1-2 курс, 1р ВО, БІКС, очна) test answers and solutions? Browse our comprehensive collection of verified answers for Вища математика (1-2 курс, 1р ВО, БІКС, очна) at elearning.kubg.edu.ua.

Get instant access to accurate answers and detailed explanations for your course questions. Our community-driven platform helps students succeed!

Що з наступного не відноситься до області D

в записі подвійного

інтеграла?

0%
0%
0%
0%
View this question

Вкажіть всі формули, які застосовують для

обчислення об’єму тіла, обмеженого поверхнею

G

за допомогою потрійного

інтегралу в різних системах координат:

0%
0%
0%
0%
0%
View this question

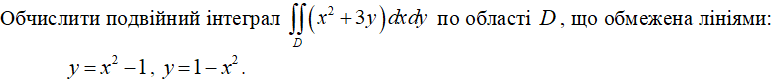
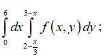
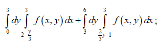
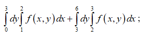
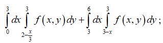
Задана область: 

0%
0%
0%
0%
View this question

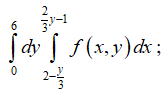
View this question

В якій системі координат при обчисленні

потрійного інтегралу елемент об’єму

dv = ρ dρ dz ?

View this question

Відповідь надати або у вигляді десяткового числа (якщо можна обчислити

без округлення), або у вигляді неправильного звичайного дробу.

Наприклад, -5,5 або 29/26.

View this question

Відповідь надати або у вигляді десяткового числа (якщо можна обчислити

без округлення), або у вигляді неправильного звичайного дробу.

Наприклад, -5,5 або 29/26.

View this question

View this question

50%
0%
View this question

Що не є формулою, яка зв'язує прямокутні декартові координати з

циліндричними?

View this question

Want instant access to all verified answers on elearning.kubg.edu.ua?

Get Unlimited Answers To Exam Questions - Install Crowdly Extension Now!

Browser

Add to Chrome