logo

Crowdly

Browser

Add to Chrome

Вища математика (1-2 курс, 1р ВО, БІКС, очна)

Looking for Вища математика (1-2 курс, 1р ВО, БІКС, очна) test answers and solutions? Browse our comprehensive collection of verified answers for Вища математика (1-2 курс, 1р ВО, БІКС, очна) at elearning.kubg.edu.ua.

Get instant access to accurate answers and detailed explanations for your course questions. Our community-driven platform helps students succeed!

View this question

Усі методи обчислення інтегралів поділяються на

View this question

Формула для отримання наближеного значення інтеграла

являє

собою

0%
0%
50%
View this question

Скінченними різницями

першого порядку називають

View this question

Інтерполяційний

многочлен Лагранжа для функції, що має значення

f(1)=5; f(3)=7; f(4)=6

View this question

Другий інтерполяційний многочлен Ньютона для функції, що має значення f

(0)=–1;

f(2)=0; f(4)=2

View this question

Інтерполяція – це

View this question

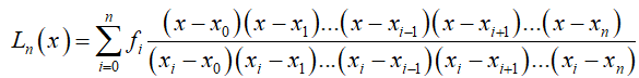
Вкажіть неправильно

записані формули інтерполяційного многочлена Лагранжа

0%
0%
View this question

Відокремлення коренів нелінійного

рівняння можна виконати способами:

View this question

Задача відокремлення

коренів нелінійного рівняння полягає

View this question

Want instant access to all verified answers on elearning.kubg.edu.ua?

Get Unlimited Answers To Exam Questions - Install Crowdly Extension Now!

Browser

Add to Chrome