logo

Crowdly

Browser

Add to Chrome

Металеві конструкції

Looking for Металеві конструкції test answers and solutions? Browse our comprehensive collection of verified answers for Металеві конструкції at exam.nuwm.edu.ua.

Get instant access to accurate answers and detailed explanations for your course questions. Our community-driven platform helps students succeed!

Оголовок колони:

0%
0%
0%
0%
0%
View this question

Коефіцієнт умов роботи:

0%
0%
0%
0%
0%
View this question

Переріз центрально стиснутих колон підбирають, виходячи з умови:

0%
0%
0%
0%
View this question

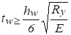
Найменша(min) висота головної балки, яка забезпечує необхідну жорсткість:

View this question

Якщо плитаоголовка колони стругається, а торець вертикального ребра фрезерується, то товщина вертикального ребра визначається, виходячи з:

0%
0%
0%
0%
0%
View this question

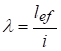
Розрахункова довжина колони обчислюється, як:

View this question

В балкових клітках спрощеного типу використовуються:

View this question

Суцільною називається колона, яка:

View this question

Автоматичнезварюваннявиконується:

0%
0%
0%
0%
0%
View this question

Коефіцієнт надійності за матеріалом:

0%
0%
0%
0%
View this question

Want instant access to all verified answers on exam.nuwm.edu.ua?

Get Unlimited Answers To Exam Questions - Install Crowdly Extension Now!

Browser

Add to Chrome