logo

Crowdly

Browser

Add to Chrome

Металеві конструкції

Looking for Металеві конструкції test answers and solutions? Browse our comprehensive collection of verified answers for Металеві конструкції at exam.nuwm.edu.ua.

Get instant access to accurate answers and detailed explanations for your course questions. Our community-driven platform helps students succeed!

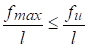
Умова міцності балки за максимальними нормальними напруженнями має вигляд:

0%
0%
0%
14%
View this question

Центральні осі поперечного перерізу суцільних колон називаються

0%
0%
0%
0%
0%
View this question

Умова рівностійкості наскрізних центрально стиснутих колон:

0%
0%
0%
0%
View this question

Розрахунковий опір сталі розтягу, стиску, згину за межею міцності:

0%
0%
0%
0%
0%
View this question

Коефіцієнт надійності за навантаженням для експлуатаційного розрахункового навантаження:

0%
0%
0%
0%
0%
View this question

Колони складаються з наступних основних частин:

View this question

Обчислити максимальні нормальні напруження від дії згинаючого моменту в однопролітній сталевій балці, яка працює на поперечний згин, за пружної роботи сталі за наступними вихідними даними: переріз балки – двотавр №36 клас міцності сталі – С275 проліт балки розрахункове граничне лінійне рівномірно розподілене навантаження на балку коефіцієнт умов роботи

0%
0%
0%
0%
View this question

З’єднувальні елементи наскрізних колон розраховуються на дію:

0%
0%
0%
0%
0%
View this question

Площа перерізу кутового зварного шва за металом межі сплавлення:

0%
0%
0%
0%
0%
View this question

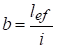
Необхідна ширина перерізу наскрізної колони визначається, як:

0%
0%
0%
0%
View this question

Want instant access to all verified answers on exam.nuwm.edu.ua?

Get Unlimited Answers To Exam Questions - Install Crowdly Extension Now!

Browser

Add to Chrome