logo

Crowdly

Browser

Add to Chrome

Металеві конструкції

Looking for Металеві конструкції test answers and solutions? Browse our comprehensive collection of verified answers for Металеві конструкції at exam.nuwm.edu.ua.

Get instant access to accurate answers and detailed explanations for your course questions. Our community-driven platform helps students succeed!

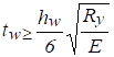
Місцева стійкість стінки суцільної колони зі складеного зварного двотавра забезпечена, якщо виконується умова:

0%
0%
0%
0%
0%
View this question

Таврові зварні з’єднання виконують за допомогою:

View this question

Обчислити максимальне значення розрахункового граничного згинаючого моменту , яке здатна сприйняти однопролітна сталева балка прольотом , виготовлена з прокатного двотавра №24 Сталь балки класу С275 Розрахунок виконати за пружної роботи сталі Коефіцієнт умов роботи

0%
0%
0%
50%
View this question

При розрахунках конструкцій за IІгрупою граничних станів використовують:

View this question

Зварні з’єднання з використанням автоматичного зварювання виконують:

0%
0%
View this question

Значення розрахункового опору сталів визначається залежно від:

75%
75%
View this question

– це коефіцієнт:

View this question

Статичний момент опору поперечного перерізу балки позначається:

View this question

Загальна стійкість балки буде забезпечена, якщо за поверхового сполучення балок виконується умова:

0%
0%
0%
0%
View this question

Стикові зварні з’єднання виконують за допомогою:

View this question

Want instant access to all verified answers on exam.nuwm.edu.ua?

Get Unlimited Answers To Exam Questions - Install Crowdly Extension Now!

Browser

Add to Chrome