logo

Crowdly

Browser

Add to Chrome

Металеві конструкції

Looking for Металеві конструкції test answers and solutions? Browse our comprehensive collection of verified answers for Металеві конструкції at exam.nuwm.edu.ua.

Get instant access to accurate answers and detailed explanations for your course questions. Our community-driven platform helps students succeed!

Розрахункова довжина:

View this question

Центральна вісь, яка перетинає тіло віток колони називається:

View this question

Розрахунок колон залежить від

View this question

Позацентрово стиснуті колони:

0%
0%
0%
0%
0%
View this question

Якщо в’язями є планки, то розрахункова схема колони являє собою:

View this question

Висота ферм h приймається, виходячи з:

0%
0%
0%
0%
0%
View this question

– це коефіцієнт:

View this question

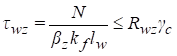
Визначити напруження в стиковому зварному шві розрахунковою площею Аw = 50см2. Розрахункове зусилля N =200kн, коефіцієнт умов роботи = 1:

0%
0%
0%
0%
0%
View this question

Діюче навантаження на колону N:

View this question

Зварні шви за зовнішньою формою поділяють на:

View this question

Want instant access to all verified answers on exam.nuwm.edu.ua?

Get Unlimited Answers To Exam Questions - Install Crowdly Extension Now!

Browser

Add to Chrome