logo

Crowdly

Browser

Add to Chrome

Вища математика

Looking for Вища математика test answers and solutions? Browse our comprehensive collection of verified answers for Вища математика at exam.nuwm.edu.ua.

Get instant access to accurate answers and detailed explanations for your course questions. Our community-driven platform helps students succeed!

Скласти рівняння висоти, проведеної з вершини В в трикутнику АВС, якщо А(6; 3), В(5; 1), С(2; -1).

View this question

Скласти рівняння бісектриси, проведеної з вершини В в трикутнику АВС, якщо А(8; -1), В(5; 1), С(2; -1).

0%
0%
0%
0%
0%
View this question

Яка з прямих проходить через точку ?

View this question

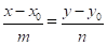
Яке з рівнянь є рівнянням прямої через точку і нормальний вектор?

0%
0%
0%
0%
View this question

Скласти рівняння кола з центром в точці і радіусом R=7

View this question

Яка з прямих проходить через точки ?

View this question

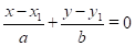
Яке з рівнянь є рівнянням прямої у відрізках на осях на площині?

View this question

Яке з рівнянь є канонічним рівнянням параболи?

0%
0%
0%
0%
0%
0%
View this question

Визначити відстань між правою і нижньою вершинами еліпса

0%
0%
0%
0%
0%
View this question

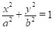
Вибрати канонічне рівняння гіперболи на площині

View this question

Want instant access to all verified answers on exam.nuwm.edu.ua?

Get Unlimited Answers To Exam Questions - Install Crowdly Extension Now!

Browser

Add to Chrome