logo

Crowdly

Browser

Add to Chrome

Вища математика

Looking for Вища математика test answers and solutions? Browse our comprehensive collection of verified answers for Вища математика at exam.nuwm.edu.ua.

Get instant access to accurate answers and detailed explanations for your course questions. Our community-driven platform helps students succeed!

Вибрати неправильну формулу

0%
0%
0%
0%
View this question

Якщо змішаний добуток трьох ненульових векторів дорівнює нулю, то вектори

View this question

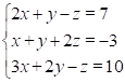
Розв’язати систему . Вибрати суму координат розв’язку.

0%
0%
0%
0%
0%
View this question

Якщо головний визначник квадратної системи дорівнює нулю, то її безпосередньо завжди можна розв'язати методом

View this question

Дано систему лінійних алгебраїчних рівнянь обчислити .

View this question

Якщо вектори перпендикулярні, то їх скалярний добуток дорівнює

View this question

Дано систему лінійних алгебраїчних рівнянь обчислити .

0%
0%
0%
View this question

Рядки називаються лінійно незалежними, якщо їх лінійна комбінація рівна нулю тільки

View this question

Знайти кут між векторами та

0%
0%
0%
0%
0%
View this question

Розв’язати систему з допомогою визначників . Вибрати суму координат розв’язку.

0%
0%
0%
0%
View this question

Want instant access to all verified answers on exam.nuwm.edu.ua?

Get Unlimited Answers To Exam Questions - Install Crowdly Extension Now!

Browser

Add to Chrome