logo

Crowdly

Browser

Add to Chrome

Математичний аналіз

Looking for Математичний аналіз test answers and solutions? Browse our comprehensive collection of verified answers for Математичний аналіз at exam.nuwm.edu.ua.

Get instant access to accurate answers and detailed explanations for your course questions. Our community-driven platform helps students succeed!

Знайти інтеграл . Звести подібні доданки. Вибрати не константні доданки відповіді.
0%
0%
0%
0%
0%
0%
0%
0%
0%
0%
0%
0%
View this question
Знайти інтеграл . Звести подібні доданки. Вибрати не константні доданки відповіді.
0%
100%
0%
0%
0%
100%
View this question
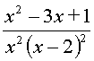
Провести в інтегралі рекомендовану в таких випадках заміну. Вибрати первісну з новою змінною.
View this question
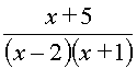
Розкласти на суму простих дробів: . Вибрати з наступних чисел коефіцієнти розкладу.
0%
100%
0%
0%
0%
0%
100%
View this question
Розкласти на суму простих дробів: . Вибрати з наступних чисел коефіцієнти розкладу.
View this question
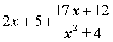
Виділити цілу частину: .
0%
0%
100%
0%
0%
View this question
Знайти інтеграл . Вибрати не константні доданки відповіді.
View this question
Знайти інтеграл . Вибрати не константні доданки відповіді.
View this question
Дослідити функцію та побудувати графік: Співставте правильно.
View this question
Знайти найменше і найбільше значення функціїна відрізку [-1; 5]. Співставте правильно.
View this question

Want instant access to all verified answers on exam.nuwm.edu.ua?

Get Unlimited Answers To Exam Questions - Install Crowdly Extension Now!

Browser

Add to Chrome