logo

Crowdly

Browser

Add to Chrome

Математичний аналіз

Looking for Математичний аналіз test answers and solutions? Browse our comprehensive collection of verified answers for Математичний аналіз at exam.nuwm.edu.ua.

Get instant access to accurate answers and detailed explanations for your course questions. Our community-driven platform helps students succeed!

Достатньою умовою збіжності ряду Тейлора до своєї суми на проміжку є існування таких сталих і , що для всіх і для всіх виконується умова
View this question
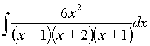
Знайти інтеграл . Вибрати не константні доданки відповіді.
0%
0%
0%
0%
0%
View this question
Знайти невизначений інтеграл та звести подібні доданки. Вибрати неконстантні доданки, з яких складається відповідь.
View this question

Підведення під знак диференціала: вираз дорівнює

View this question

З наступних функцій вибрати прості раціональні дроби першого типу.

View this question
В інтегралі провести заміну, рекомендовану в таких випадках. Вибрати інтеграл після заміни.
0%
0%
0%
0%
0%
View this question

Знайти невизначений інтеграл та звести подібні доданки. Вибрати неконстантні доданки, з яких складається відповідь.

0%
0%
0%
0%
View this question

Знайти невизначений інтеграл та звести подібні доданки. Вибрати неконстантні доданки, з яких складається відповідь.

View this question

Із наступних виразів вибрати правильний для табличного інтеграла .

View this question
В інтегралі провести заміну, рекомендовану в таких випадках. Вибрати інтеграл після заміни.
View this question

Want instant access to all verified answers on exam.nuwm.edu.ua?

Get Unlimited Answers To Exam Questions - Install Crowdly Extension Now!

Browser

Add to Chrome