logo

Crowdly

Browser

Add to Chrome

Вища математика

Looking for Вища математика test answers and solutions? Browse our comprehensive collection of verified answers for Вища математика at exam.nuwm.edu.ua.

Get instant access to accurate answers and detailed explanations for your course questions. Our community-driven platform helps students succeed!

Знайти змішаний добуток векторів

0%
0%
0%
0%
0%
View this question

Розв’язати систему . Вибрати суму координат розв’язку.

View this question

Матриця B для матриці A є оберненою, якщо

0%
0%
0%
0%
0%
View this question

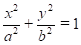
Яке з рівнянь є рівнянням площини у відрізках?

View this question

Площини є паралельними, якщо виконується формула

0%
0%
0%
0%
0%
View this question

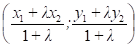
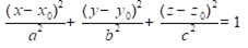
Вибрати канонічне рівняння параболи на площині.

View this question

Знайти довжину вектора , якщо , .

View this question

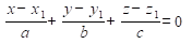
Який з виразів визначає відстань між двома точками в декартовій системі координат?

0%
0%
0%
0%
0%
View this question

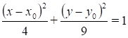
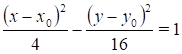
Яке з рівнянь є канонічним рівнянням кола із зміщеним центром?

View this question

Знайти проекцію вектора на вектор .

View this question

Want instant access to all verified answers on exam.nuwm.edu.ua?

Get Unlimited Answers To Exam Questions - Install Crowdly Extension Now!

Browser

Add to Chrome