logo

Crowdly

Browser

Add to Chrome

Вища математика

Looking for Вища математика test answers and solutions? Browse our comprehensive collection of verified answers for Вища математика at exam.nuwm.edu.ua.

Get instant access to accurate answers and detailed explanations for your course questions. Our community-driven platform helps students succeed!

Знайти центр кола точку М та радіус кола r, якщо воно задане своїм рівнянням

View this question

Знайти косинус кута між векторами .

0%
0%
0%
0%
0%
View this question

За якою формулою обчислюється косинус кута між векторами?

View this question

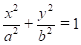
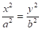
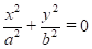
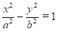
Вибрати канонічне рівняння еліпса на площині.

View this question

Want instant access to all verified answers on exam.nuwm.edu.ua?

Get Unlimited Answers To Exam Questions - Install Crowdly Extension Now!

Browser

Add to Chrome